Figure 5
From: Periportal steatosis in mice affects distinct parameters of pericentral drug metabolism

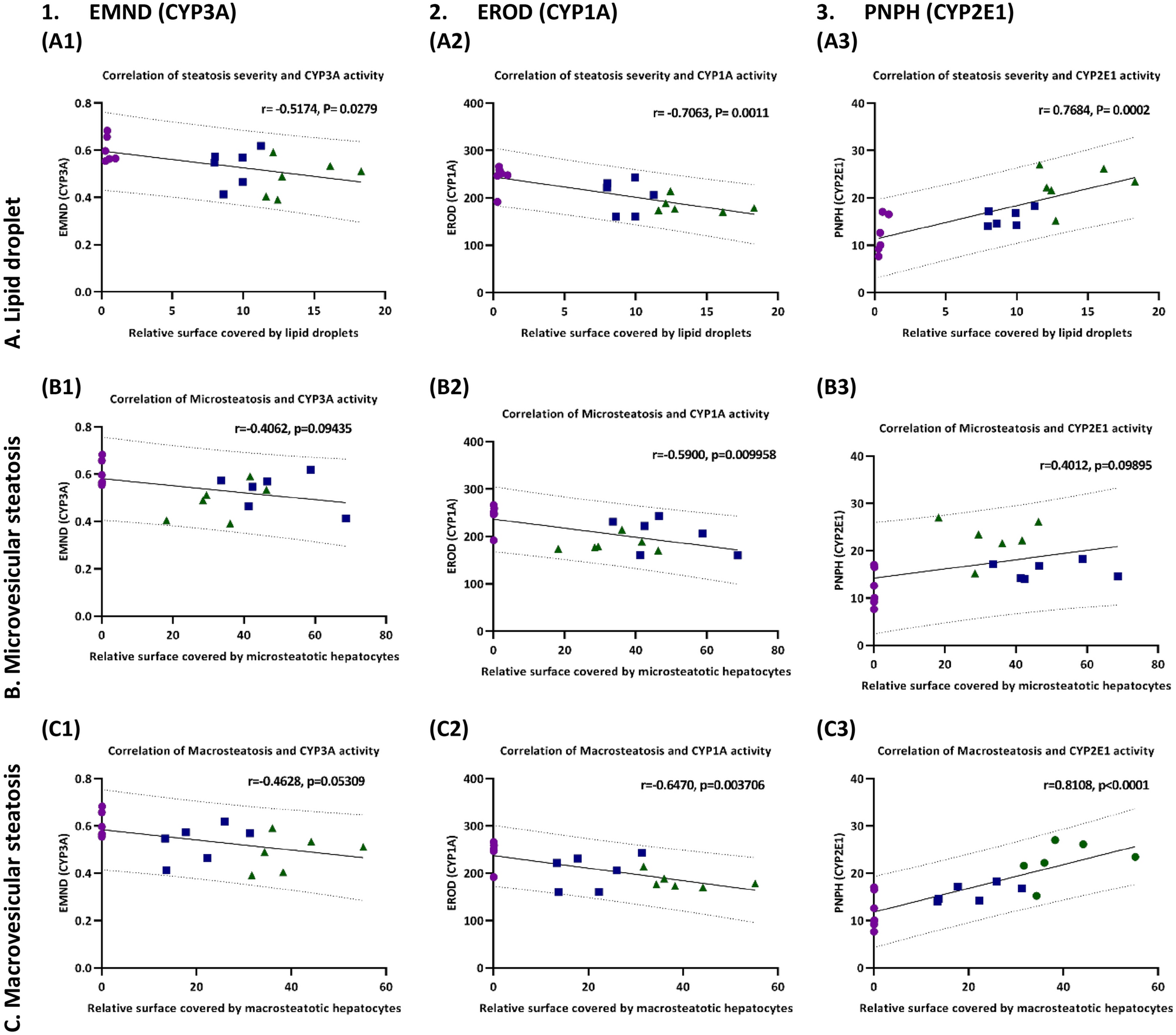
Correlation between steatosis severity and CYP activity. (Row A) Severity of steatosis as determined by lipid droplet analysis in percent of surface; (Row B) Extent of microvesicular steatosis, in percent of surface; (Row C) Extent of macrovesicular steatosis, expressed in percent. (Column 1) Correlation of steatosis type and severity with activity of CYP3A; (Column 2) Correlation of steatosis type and severity with activity of CYP1A; (Column 3) Correlation of steatosis type and severity with activity of CYP2E1. Control as magenta circles, two weeks HF-diet as blue squares, 4 weeks HF-diet as green triangles.