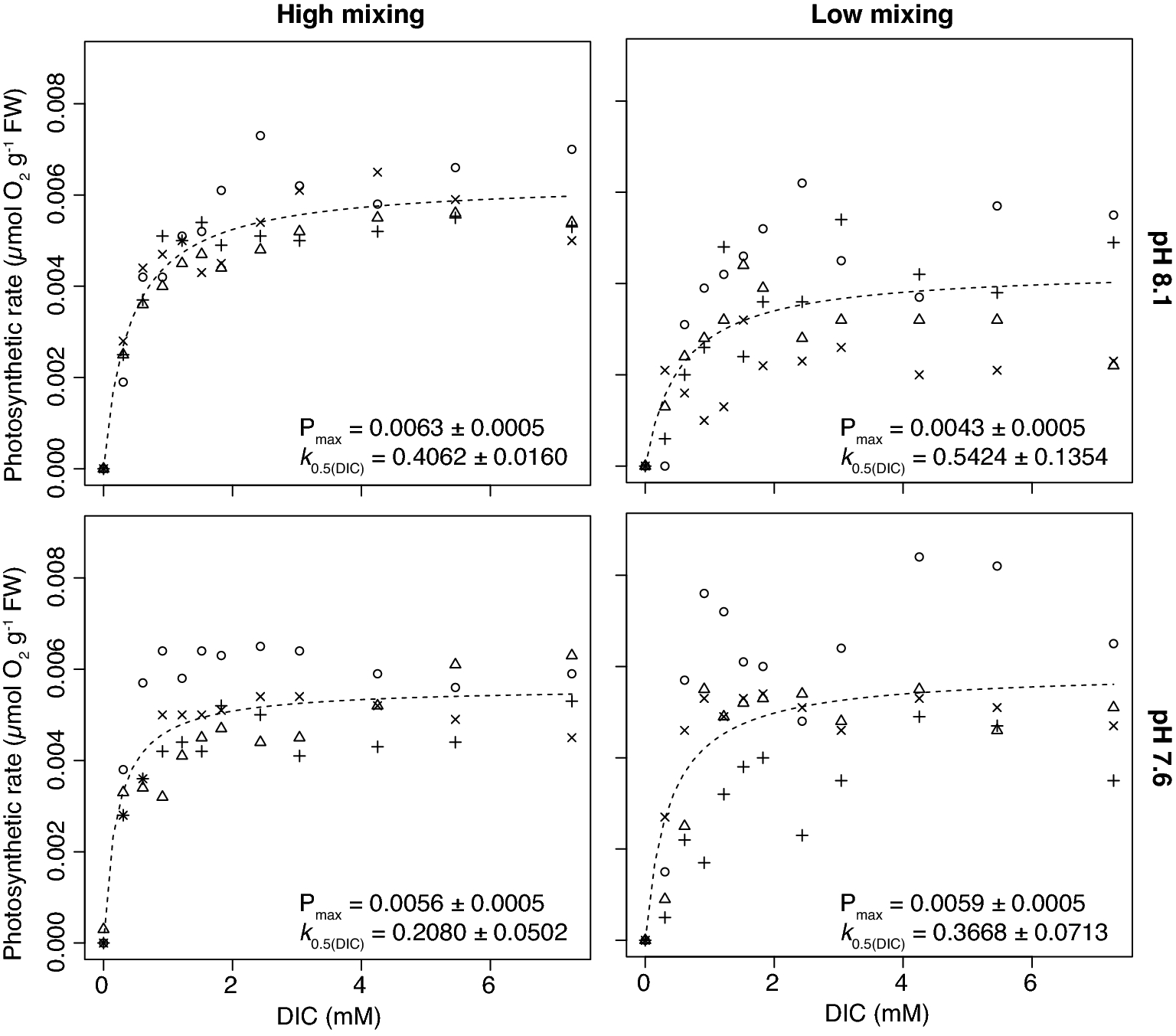
Figure 2
From: Water motion and pH jointly impact the availability of dissolved inorganic carbon to macroalgae

Photosynthetic rates (P) of Hymenena palmata (non-CCM) at increasing concentrations of DIC at high (left graphs) and low (right graphs) mixing treatments and at a pH of 8.1 (top graphs) and low pH of 7.6 (bottom graphs). Different shaped points represent the individual replicates (n = 4) with the dashed line indicating the fitted Michaelis–Menten curve (\(P=\frac{{P}_{max}\left([DIC]\right)}{{k}_{0.5}+[DIC]})\). Values of Pmax and k0.5(DIC) listed on the figure are means ± SE.