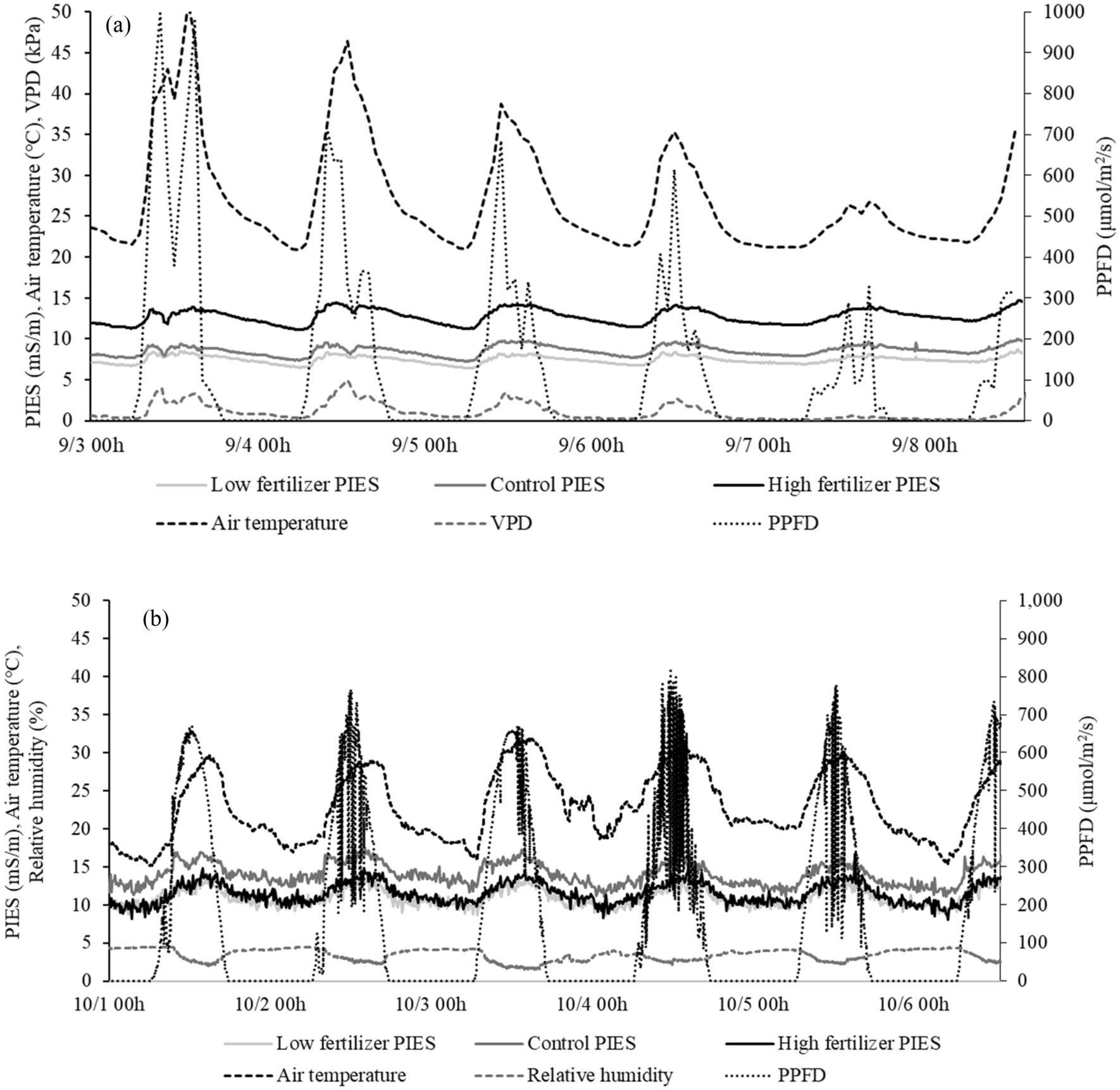
Figure 1

Plant induced electrical signal (PIES) of pepper plants according to different urea fertilizer applications in a greenhouse (a) and in field (b).

Plant induced electrical signal (PIES) of pepper plants according to different urea fertilizer applications in a greenhouse (a) and in field (b).