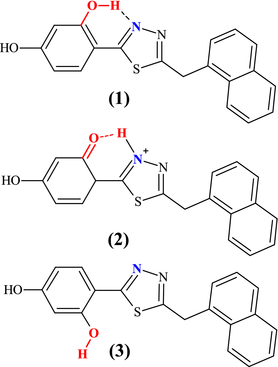
Figure 2

Keto-enol tautomerism and intramolecular hydrogen bonds in NTBD: cis configuration of enolic form (cis-enol) favoring the formation of intramolecular hydrogen bond with the nearest thiadiazole nitrogen atom (1), keto form (2) trans configuration of enolic form (trans-enol) in which the formation of intramolecular hydrogen bond is prevented (3).