Figure 3
From: Effects of aspect on phenology of Larix gmelinii forest in Northeast China

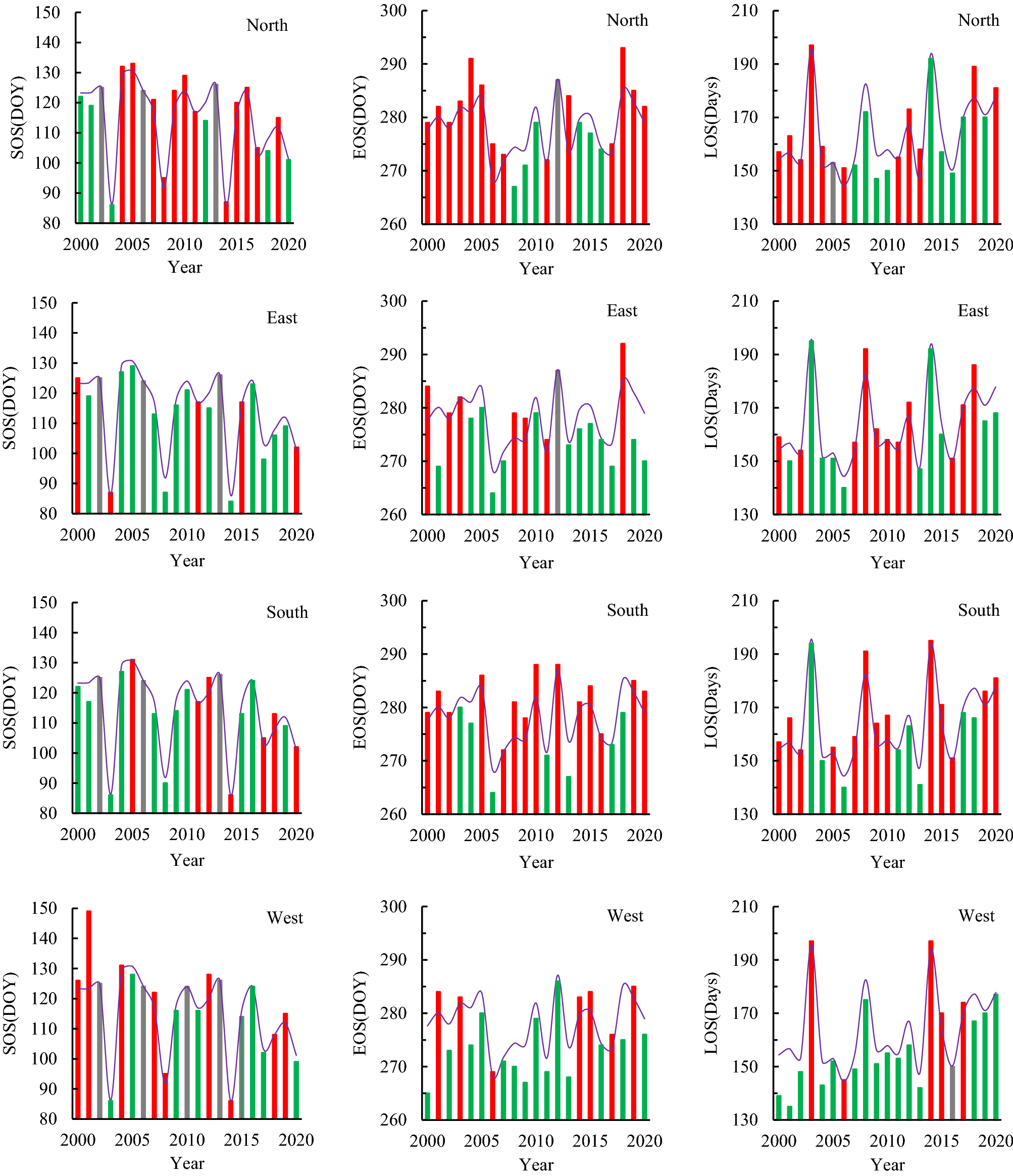
RSP indicators of different aspects (Green represents advance or shortening, red represents delay or extension, and gray represents impervious).
From: Effects of aspect on phenology of Larix gmelinii forest in Northeast China

RSP indicators of different aspects (Green represents advance or shortening, red represents delay or extension, and gray represents impervious).