Figure 5

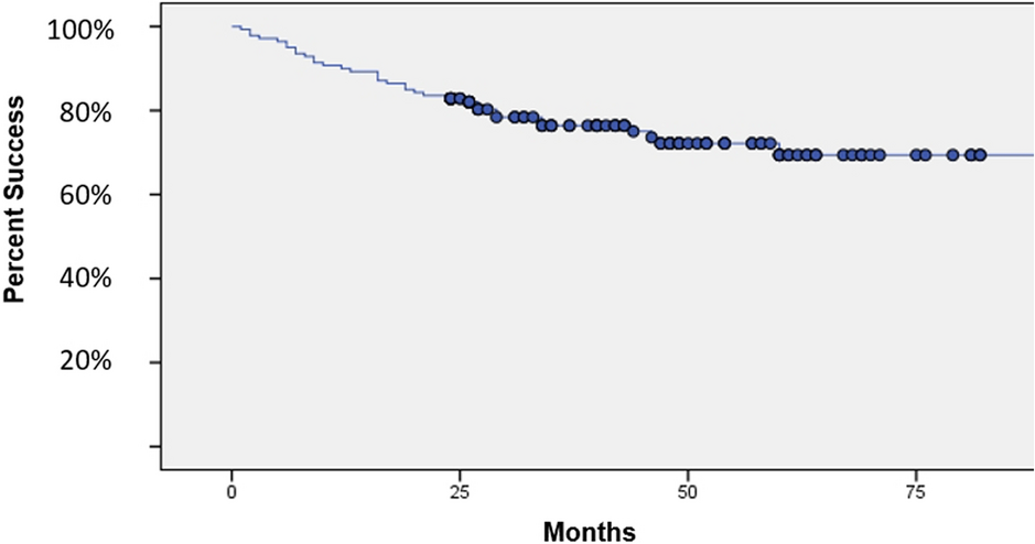
Kaplan–Meier curve showing success rate of the PDC based, multi-staged IMT with the end point for recurrence of infection. The success rate of multi-staged IMT at 24 months after bone grafting was approximately 80%.

Kaplan–Meier curve showing success rate of the PDC based, multi-staged IMT with the end point for recurrence of infection. The success rate of multi-staged IMT at 24 months after bone grafting was approximately 80%.