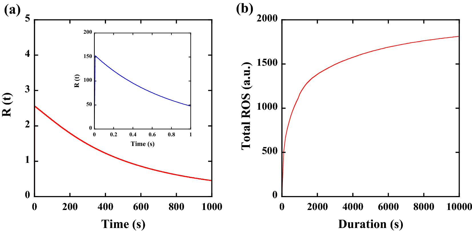
Figure 4

(a) Temporal behaviour of R(t) obtained at 0.01 mW/cm2 with 1000Â s (red curve) or 10 mW/cm2 with 1Â s (blue curve in the inset) at the irradiation wavelength of 265Â nm. (b) Total amount of ROS as a function of irradiation duration at the same dose (265Â nm, 10Â mJ/cm2).