Thank you for visiting nature.com. You are using a browser version with limited support for CSS. To obtain
the best experience, we recommend you use a more up to date browser (or turn off compatibility mode in
Internet Explorer). In the meantime, to ensure continued support, we are displaying the site without styles
and JavaScript.
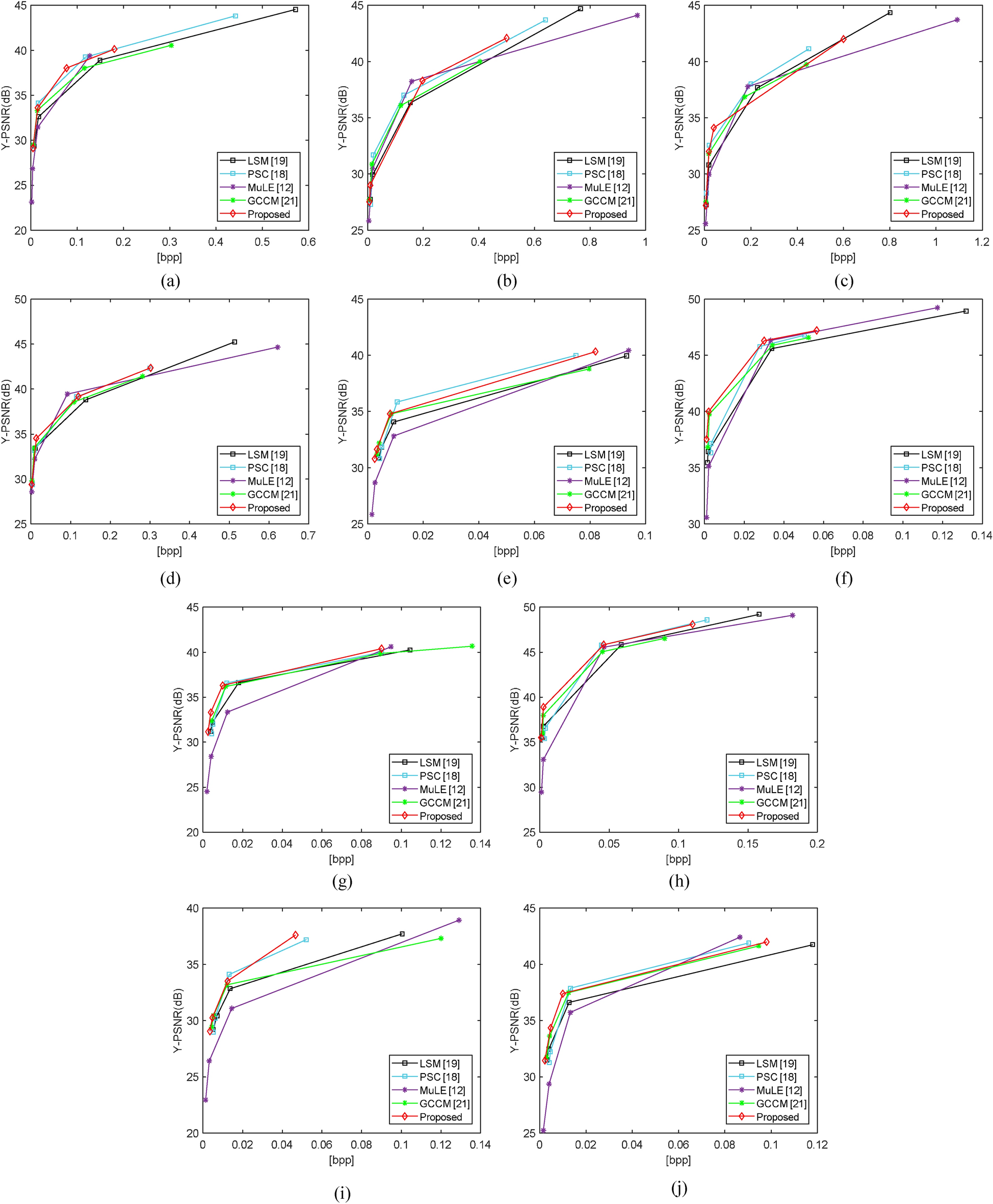
The RD curves for test LF scenes by using the LSM19, PSC18, MuLE12, GCCM21 and the proposed method. Average Y-PSNR and bits per pixel are adopted as the objective quality metrics: (a) I 01, (b) I 02, (c) I 03, (d) I 04, (e) I 05, (f) I 06, (g) I 07, (h) I 08, (i) I 09, (j) I 10.