Figure 5
From: Emotional face recognition when a colored mask is worn: a cross-sectional study

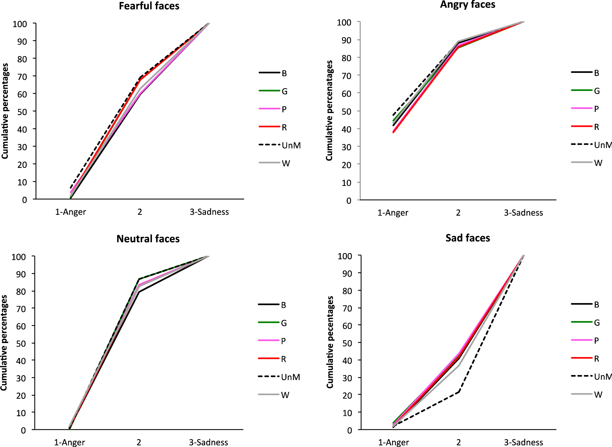
Cumulative percentages of the perception of each EFE for Scale 2, as a function of mask condition (faces wearing a B black, G green, P pink, R red, W white, mask; UnM unmasked face).