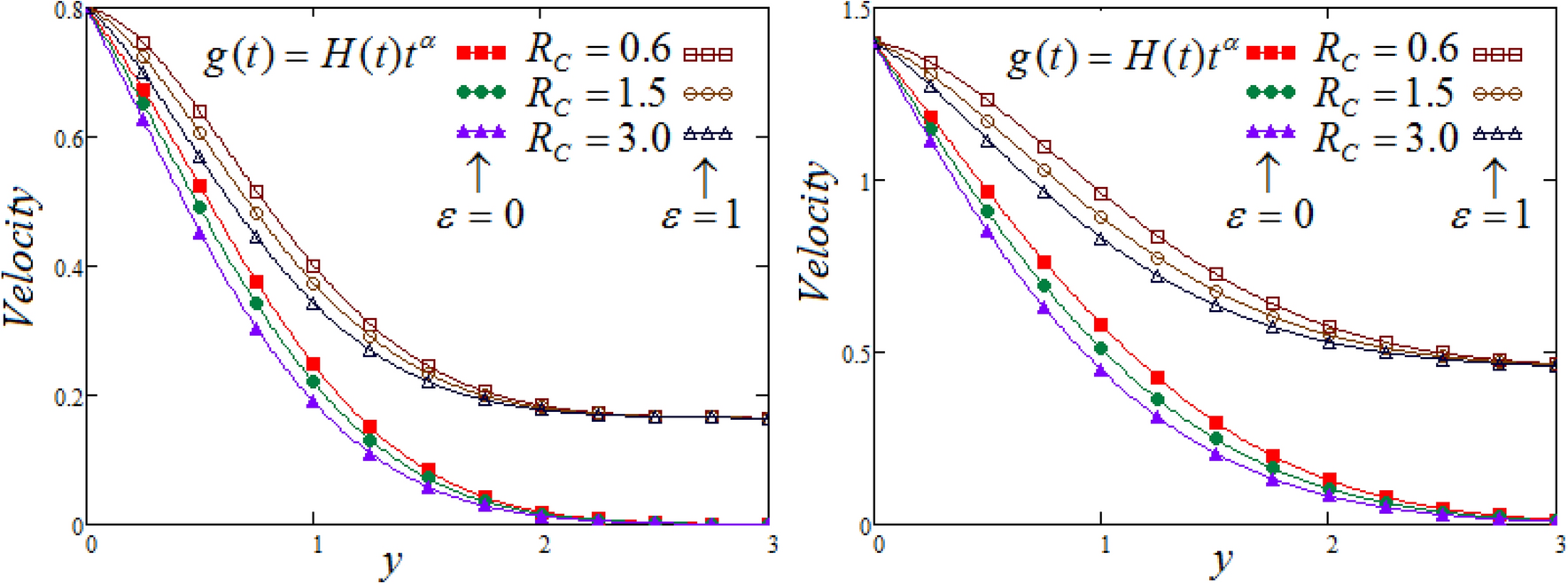
Figure 5

Representation of fluid velocity \({\text{v}}(y,t)\) against \(y\) for distinct values of \(Rc\) with \(N = 2.5,\) \(\Pr_{eff} = 4.5,\) \(Sc = 0.8,\) \(\lambda_{1} = 0.7,\) \(\wp = \tfrac{\pi }{6},\lambda_{2} = 0.3,\upsilon = \tfrac{\pi }{6},K = 1\),\(\alpha = 0.7\).