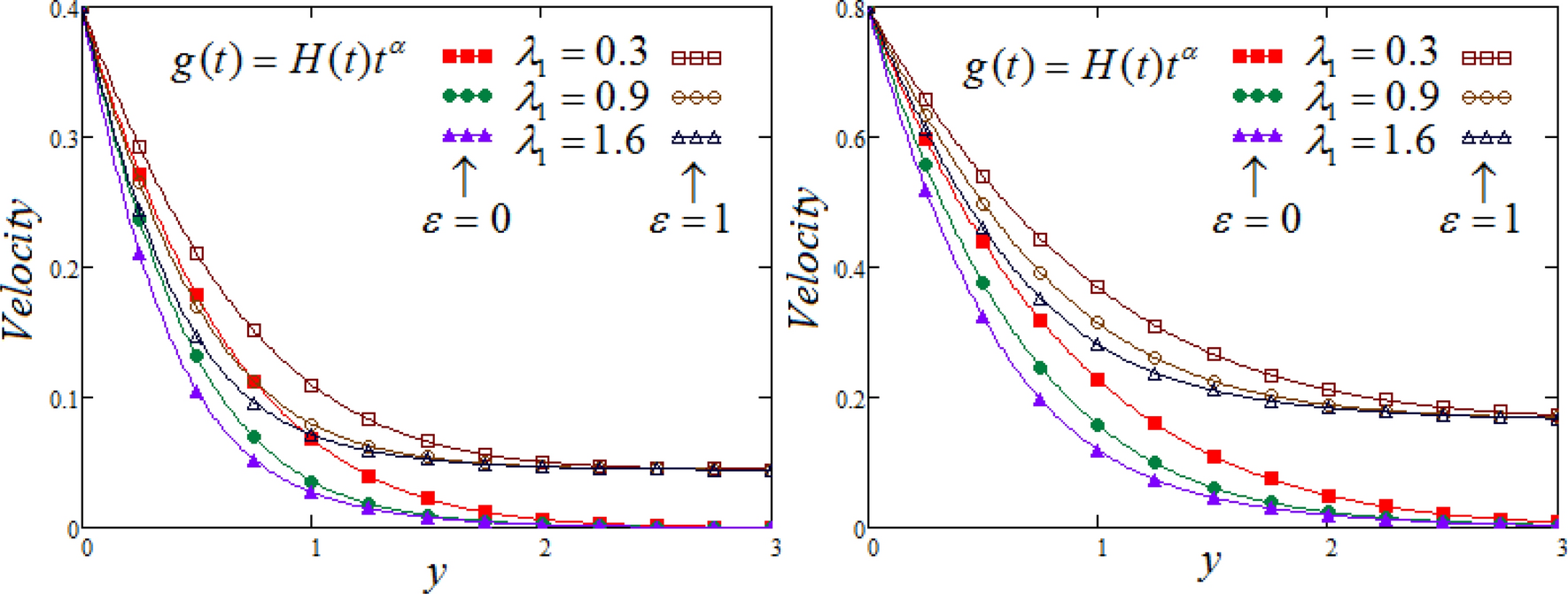
Figure 6

Representation of fluid velocity \({\text{v}}(y,t)\) against \(y\) for distinct values of \(\lambda_{1}\) with \(N = 2.5,\)\(\Pr_{eff} = 4.5,\)\(R_{C} = 0.7\) \(\wp = \tfrac{\pi }{6},\lambda_{2} = 0.3,\upsilon = \tfrac{\pi }{6},K = 1\),\(\alpha = 0.7\)\(Sc = 0.8\).