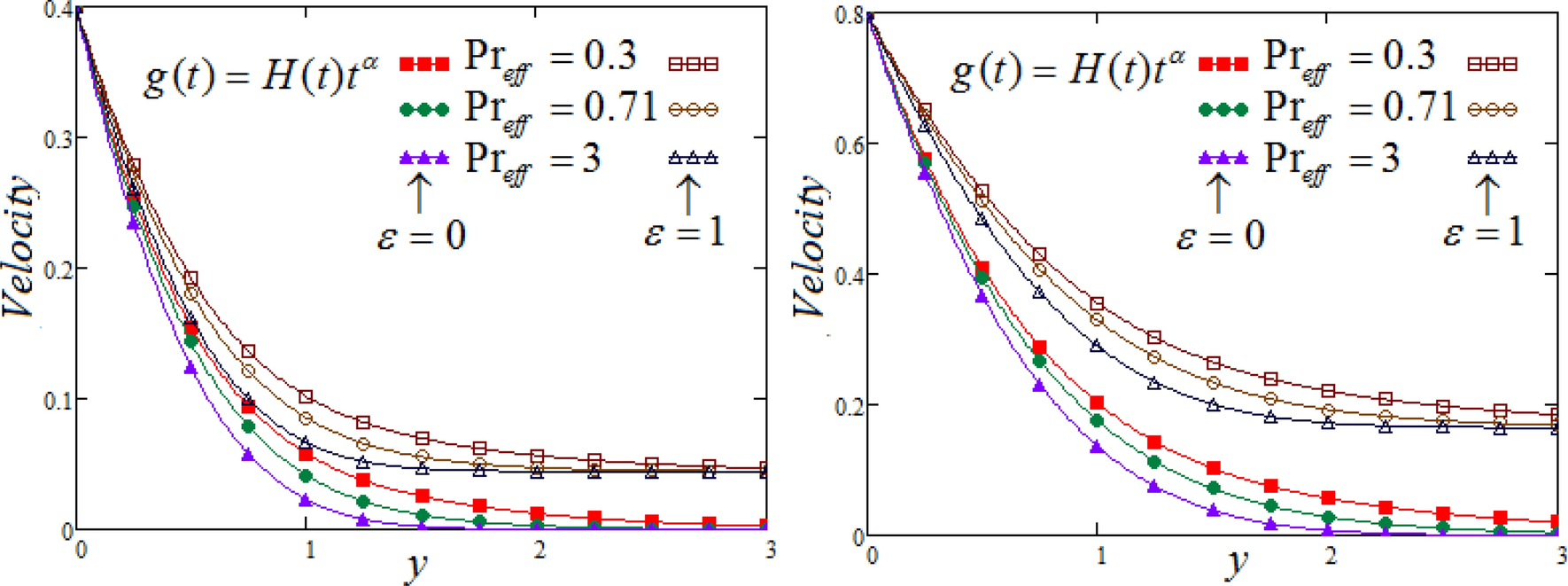
Figure 8

Representation of fluid velocity \({\text{v}}(y,t)\) against \(y\) for distinct values of \(\Pr_{eff}\) with \(N = 2.5,\)\(\lambda_{1} = 0.7,\) \(\wp = \tfrac{\pi }{6},\lambda_{2} = 0.3,\upsilon = \tfrac{\pi }{6},K = 1\),\(\alpha = 0.7\),\(R_{C} = 0.7,\)\(Sc = 0.8\).