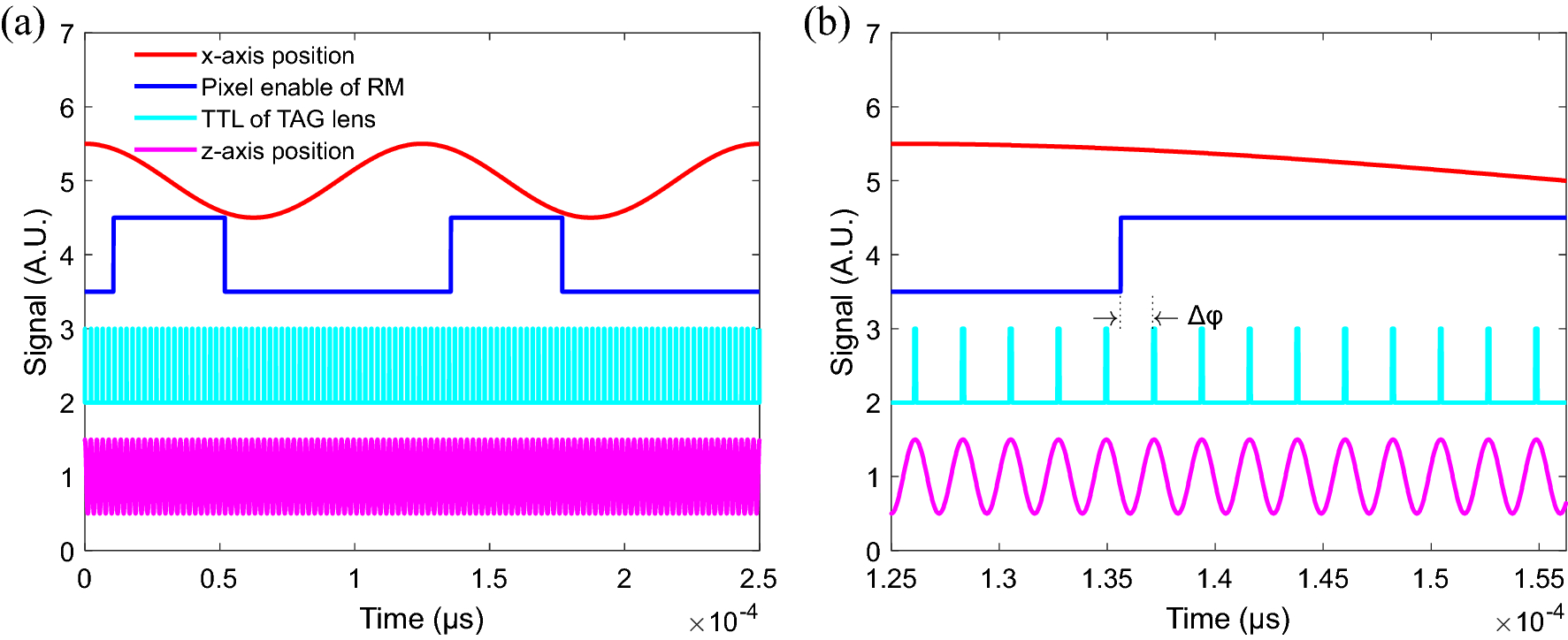
Figure 2

(a) Schematic diagram showing signals for x-axis scanning position, pixel enable of RM, TTL of TAG lens, and z-axis scanning position. Note that the red and blue lines show the x-axis scanning position and pixel enable signal from the RM driver. The cyan line shows the TTL signal of the TAG lens produced by the DrvKit 3.3 driver. The magenta line shows the z-axis scanning position relative to the scanning position of the TAG lens. (b) Close-up view of relationship among four signals. Note the presence of a phase delay, Δφ, between the pixel enable signal and the TTL signal.