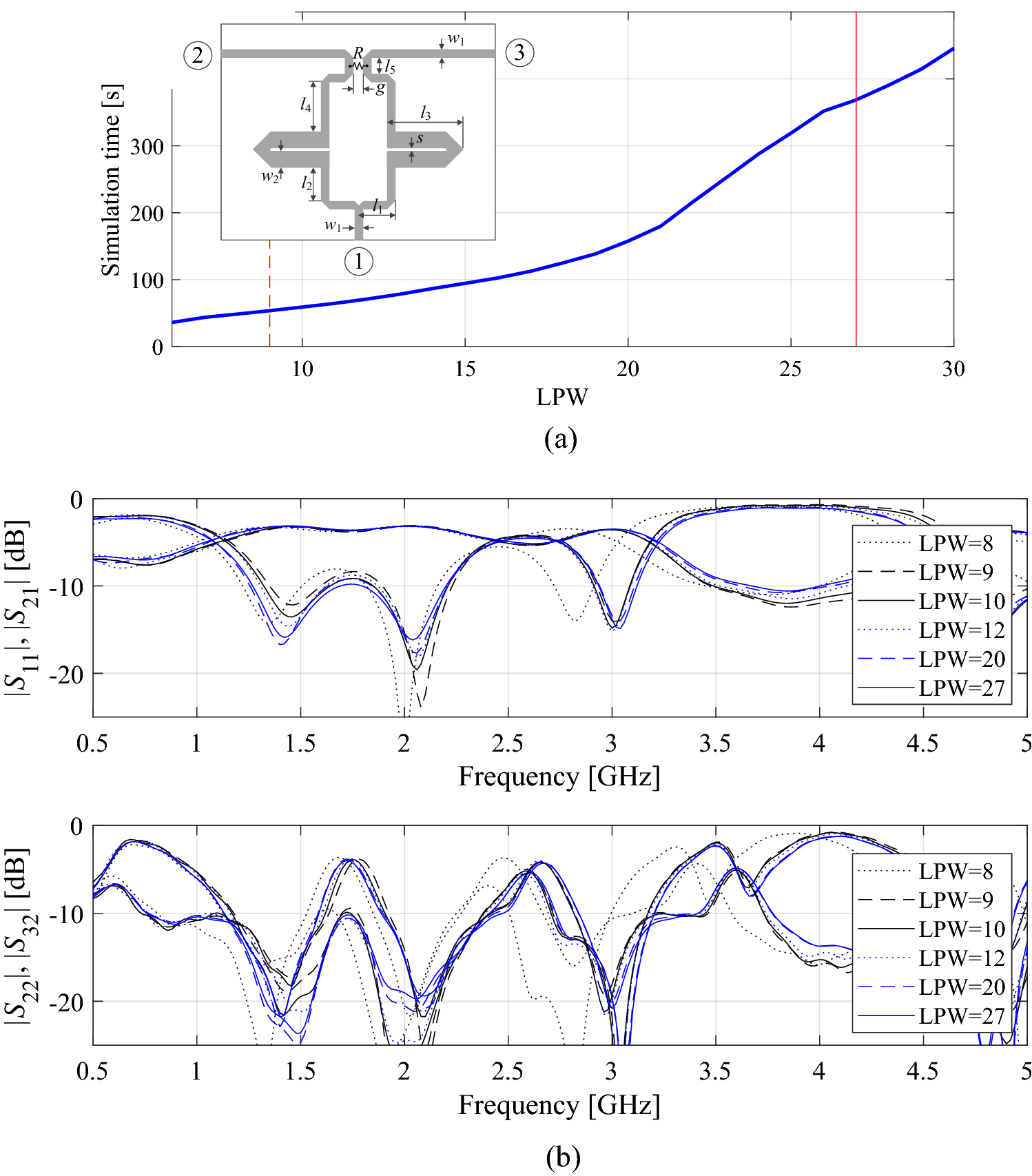
Figure 3

Dual-band power divider with multi-fidelity EM simulations: (a) average simulation time vs model resolution (controlled by LPW, i.e., lines-per-wavelength parameter), (b) certain S-parameters for the chosen LPW values. The vertical lines denote resolutions of the fine (high-fidelity) model (—), and the coarse (low-fidelity) model (---).