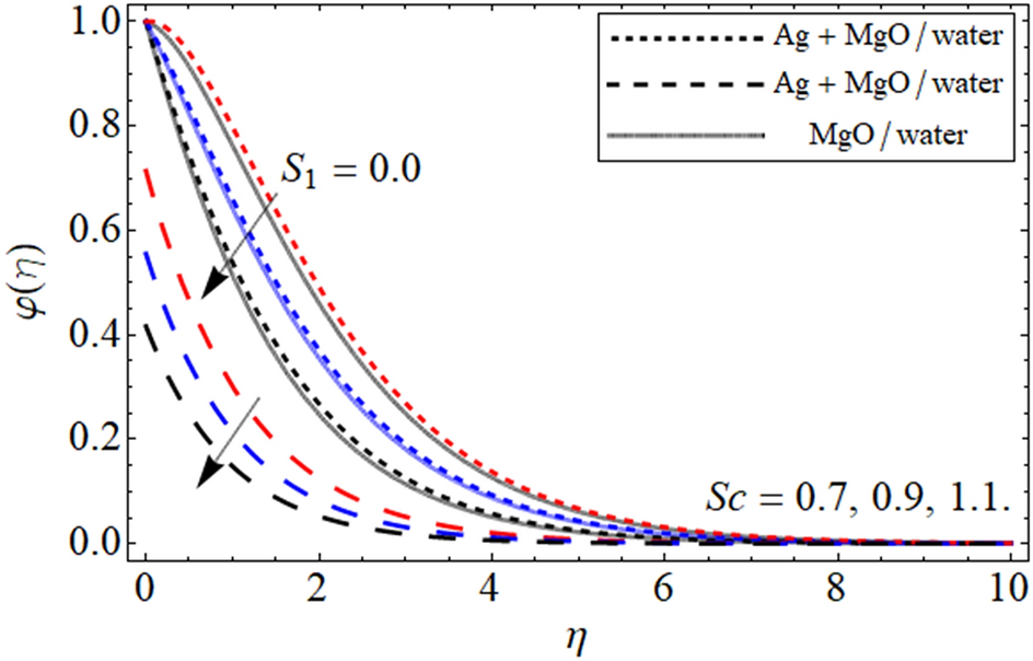
Figure 11

\(\varphi \left( \eta \right)\) versus \(Sc\). When \(\phi_{1} = \phi_{2} = 0.01,\) \(\beta = 0.5,\) \(Q = 0.1,\) \(S = 0.2,\) \(S_{2} = 0.2,\) \(S_{1} = 0.1,\) \(S_{3} = 0.1,\) \(A = 0.3,\) \(\omega = 0.3,\) \(\tau = 0.4,\) \(Pe = 0.3,\) \(Lb = 0.1.\)