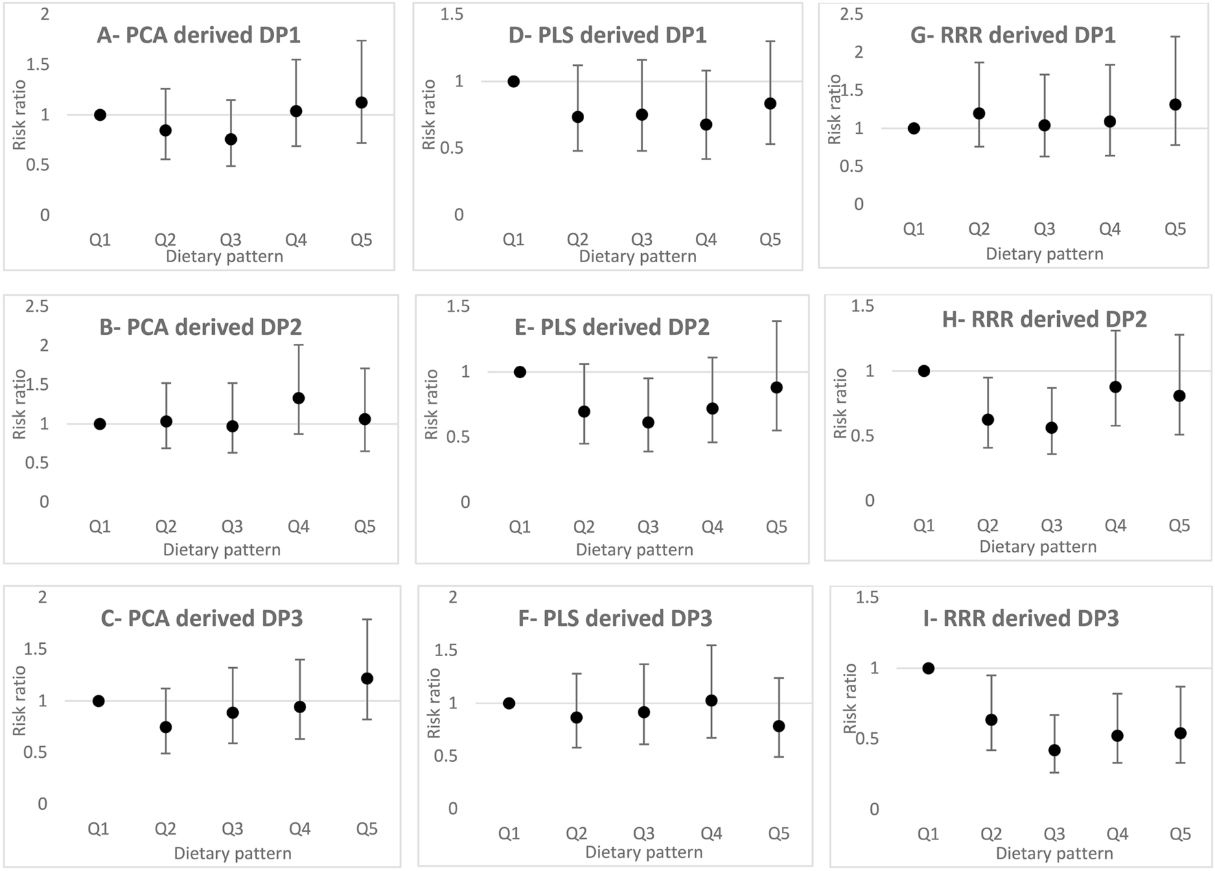
Figure 1

Risk ratios and 95% confidence intervals for the association between dietary patterns (DPs) derived using principal component analysis (PCA, (A–C)), partial least-squares (PLS, (D–F)), and reduced-rank regression (RRR, (G–I)) and type 2 diabetes mellitus (T2DM).