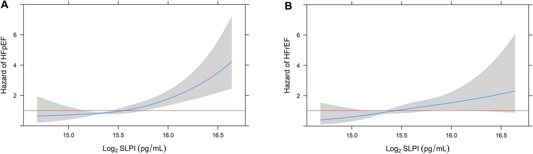
Figure 2

Association of serum SLPI with heart failure subtypes. (A) Restricted cubic spline curves of the continuous association of SLPI with heart failure with preserved ejection fraction (HFpEF). (B) Restricted cubic spline curves of the continuous association of SLPI with heart failure with reduced ejection fraction (HFrEF). Log base 2 transformation of SLPI can be interpreted as “per doubling.” Horizontal red line indicates a hazard ratio (HR) of 1. Shaded areas represent 95% confidence interval (CI).