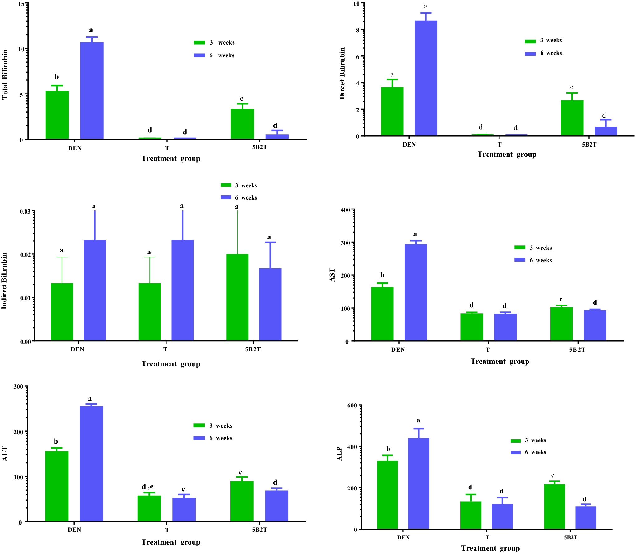
Figure 2

The effect of 5B2T on Liver biochemical parameters. The X axis present the treatment groups and the Y axis presnt the liver function parameters, DEN: diethylnitrosamine, T: 10%tween 80, 5B2T: treatment group. AST: acetate aminotransferase, ALT: alanine aminotransferase, ALP: alkaline phosphatase.