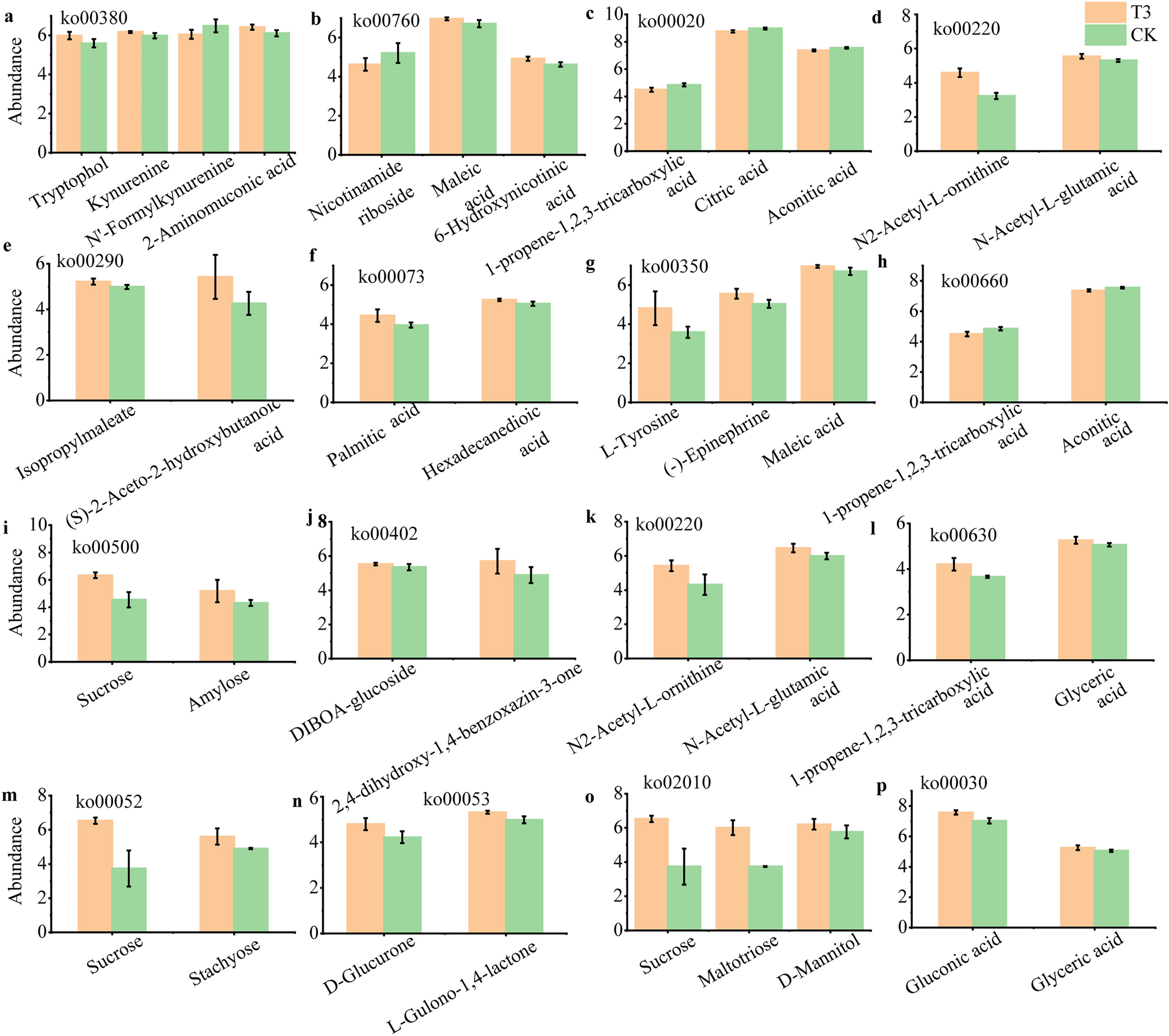
Figure 7

Analysis of differentially abundant metabolites in the significantly enriched KEGG pathway. (a–i) T3Aug3 vs. CKAug3. (j–p) T3End vs. CKEnd. T3Aug3 (samples from theT3 treatment on August 3rd), CKAug3 (samples from the CK treatment on August 3rd), T3End (samples from the T3 treatment on September 2nd) and CKEnd (samples from the CK treatment on September 2nd). All differences in the figures are significant (P < 0.05), and the vertical coordinates are mass spectral intensity values (mass spectral intensity after data preprocessing).