Figure 6
From: Macrophage numbers in the marginal area of sarcomas predict clinical prognosis

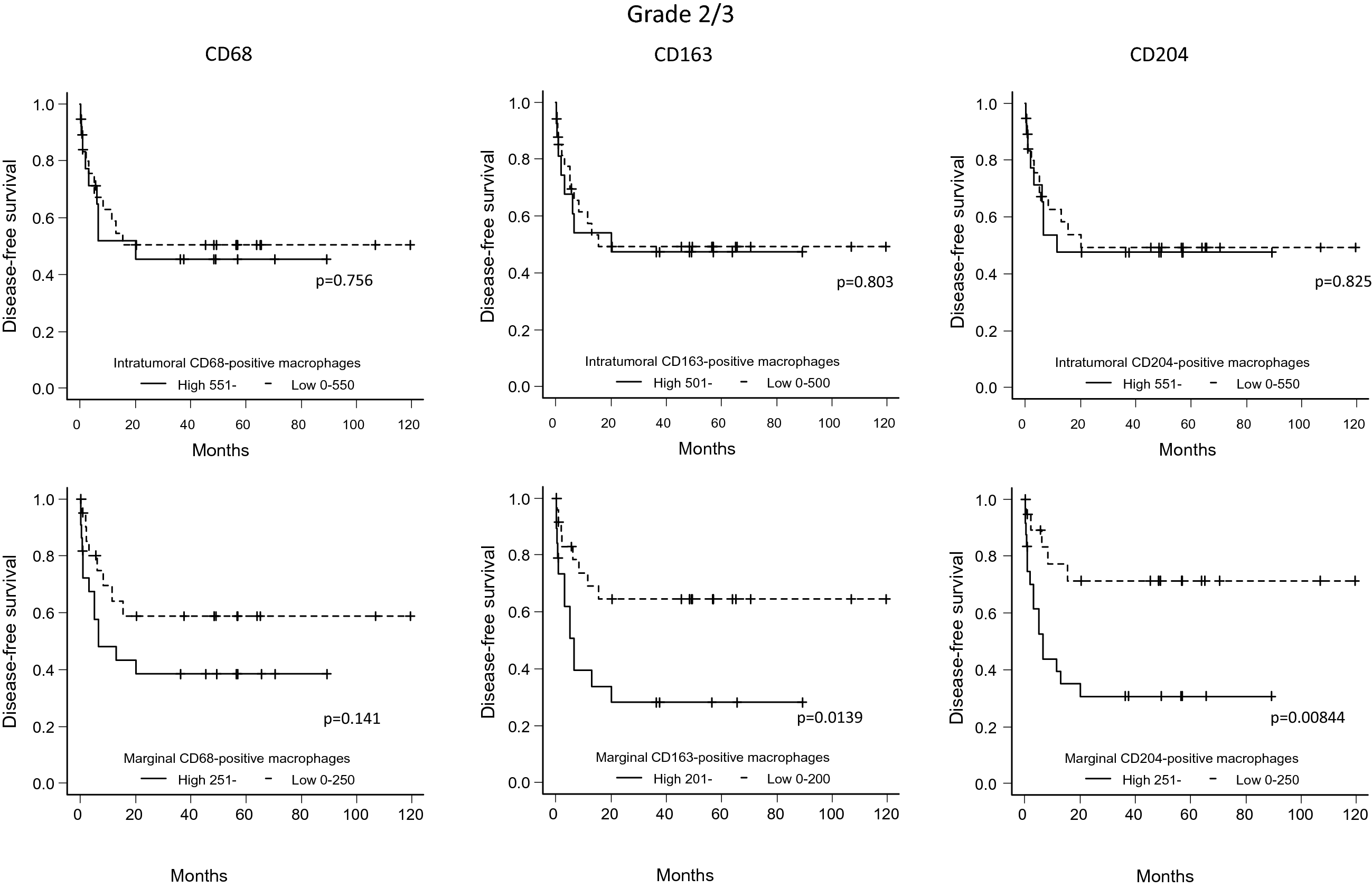
For the FNCLCC Grade 2/3 cases, disease-free survival (patients were grouped according to the number of marker-positive macrophages) was compared between cases with high and low numbers of macrophages in the intratumoral and marginal areas (Kaplan–Meier method).