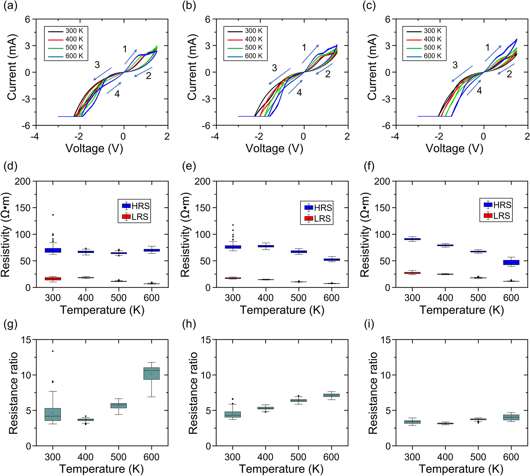
Figure 3
From: High-temperature operation of gallium oxide memristors up to 600 K

Temperature-dependent properties from 300 to 600 K. I–V curves of samples (a) G05, (b) G10, and (c) G15; HRS and LRS resistivity of samples (d) G05, (e) G10, and (f) G15; resistance ratio of samples (g) G05, (h) G10, and (i) G15.