Figure 6
From: Pulse and pulsating supercharging phenomena in a semi-enclosed pipe

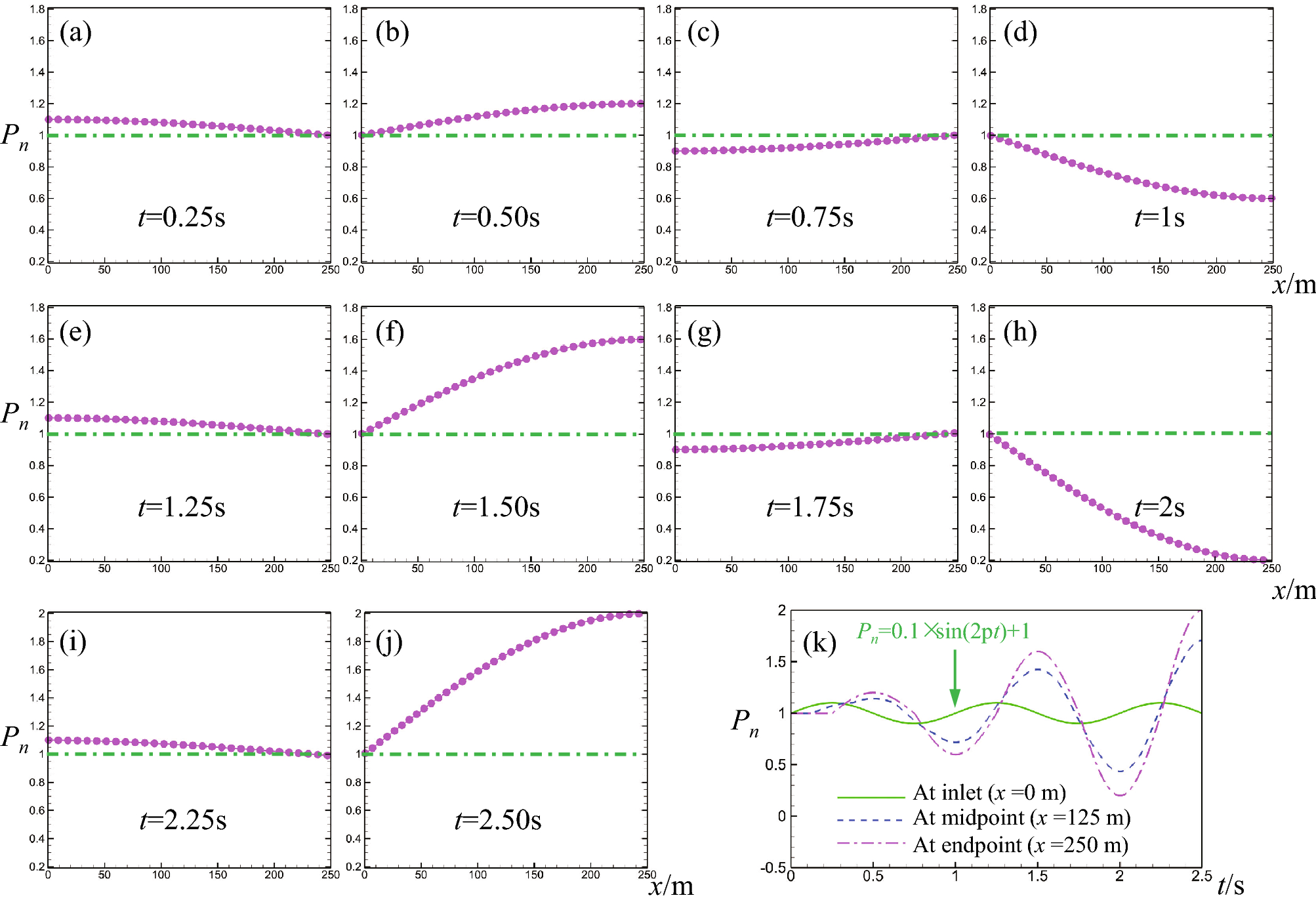
Normalized pressure-position curves alone pipe axes direction during 2.5 pulsating periods where the pipe length is 250Â m and the pulsating frequency is 1Â Hz25.
From: Pulse and pulsating supercharging phenomena in a semi-enclosed pipe

Normalized pressure-position curves alone pipe axes direction during 2.5 pulsating periods where the pipe length is 250Â m and the pulsating frequency is 1Â Hz25.