Figure 12

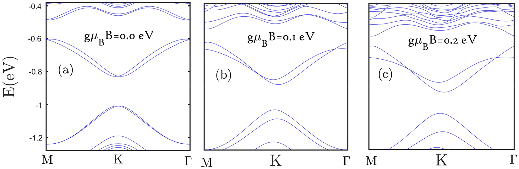
The electronic band structure of \(\text {MoS}_{2}\) layer in the direction of M-K-\(\Gamma \) into the first Brillouin zone in the absence of strain parameter with various magnetic fields, namely \(g\mu _{B}B=0.0\) eV, 0.1 eV, 02 eV.

The electronic band structure of \(\text {MoS}_{2}\) layer in the direction of M-K-\(\Gamma \) into the first Brillouin zone in the absence of strain parameter with various magnetic fields, namely \(g\mu _{B}B=0.0\) eV, 0.1 eV, 02 eV.