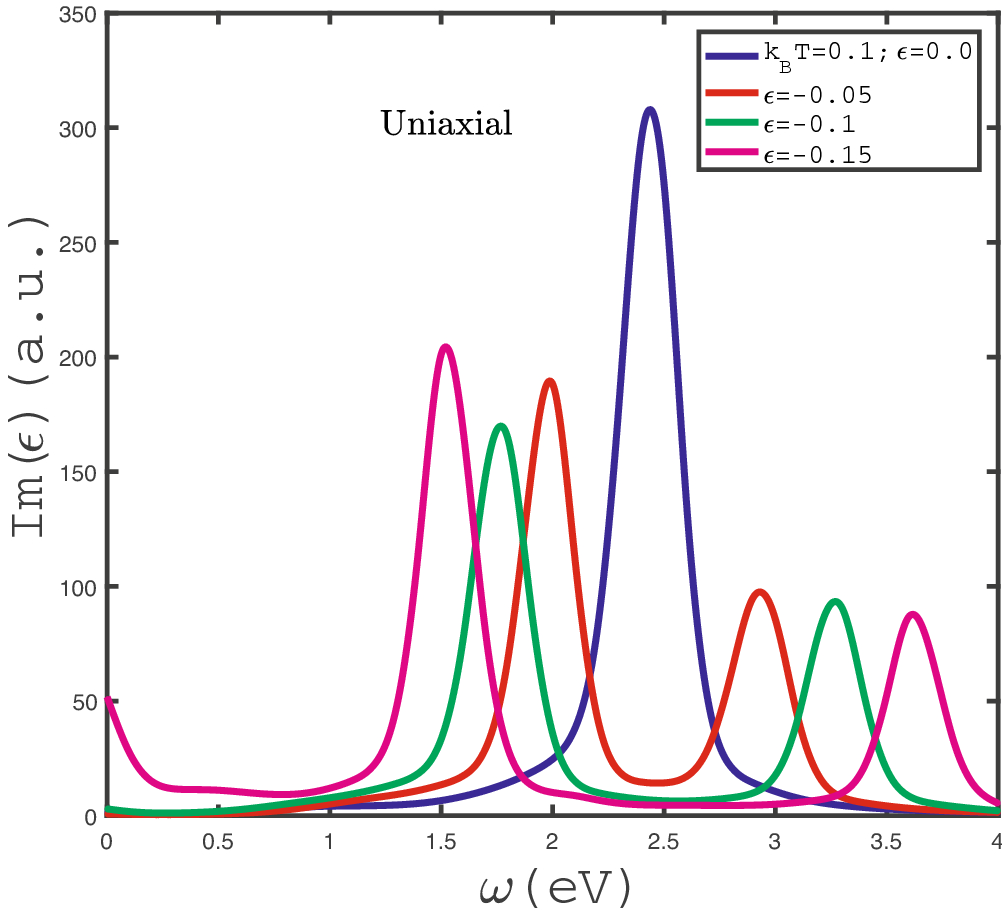
Figure 7

Optical absorption, \(Im(\epsilon )\), of undoped \(\text {MoS}_{2}\) layer as a function of photon frequency in the presence of negative uniaxial strain for different strain parameter, namely \(\varepsilon =0.0,-0.05,-0.1,-0.15\), in the absence of magnetic field at fixed temperature \(k_{B}T=0.1\) eV.