Figure 1
From: Developmental changes in the extent of drug binding to rat plasma proteins

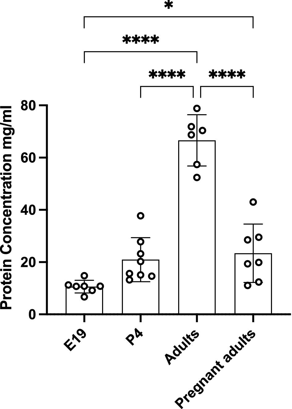
Plasma protein concentration. Total protein concentration in plasma (mg/ml) of E19, P4, non-pregnant and pregnant female adult rats measured using Bradford method. Each point represents an individual animal. Mean ± SD; n = 6–8. One-way ANOVA with Tukey’s multiple comparisons; *p < 0.05, ****p < 0.0001.