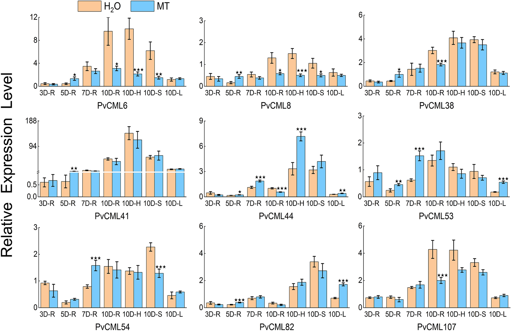
Figure 7

The qRT-PCR expression patterns of CML genes in P. vulgaris. The reactions were normalized using the actin reference gene. The standard deviations were represented by the error bars from three independent technical replicates. 3 Day-Root (3D-R), 5 Day-Root (5D-R), 7 Day-Root (7D-R), 10 Day-Root (10D-R), 10 Day-Hypocotyl (1D-H), 10 Day-Stems (1D-S) and 10 Day-Leaf (1D-L). The expression levels of each gene were expressed as a ratio relative to that of 3D-R (H2O). t-test was used to analyze the mean expression levels of three replicates in melatonin treatment (MT) with control treatment (H2O). Star(s) above the bars indicated significant differences among the treatments. A star represented significant level (p < 0.05), two stars represented significant level (p < 0.01), and three stars represented significant level (p < 0.001).