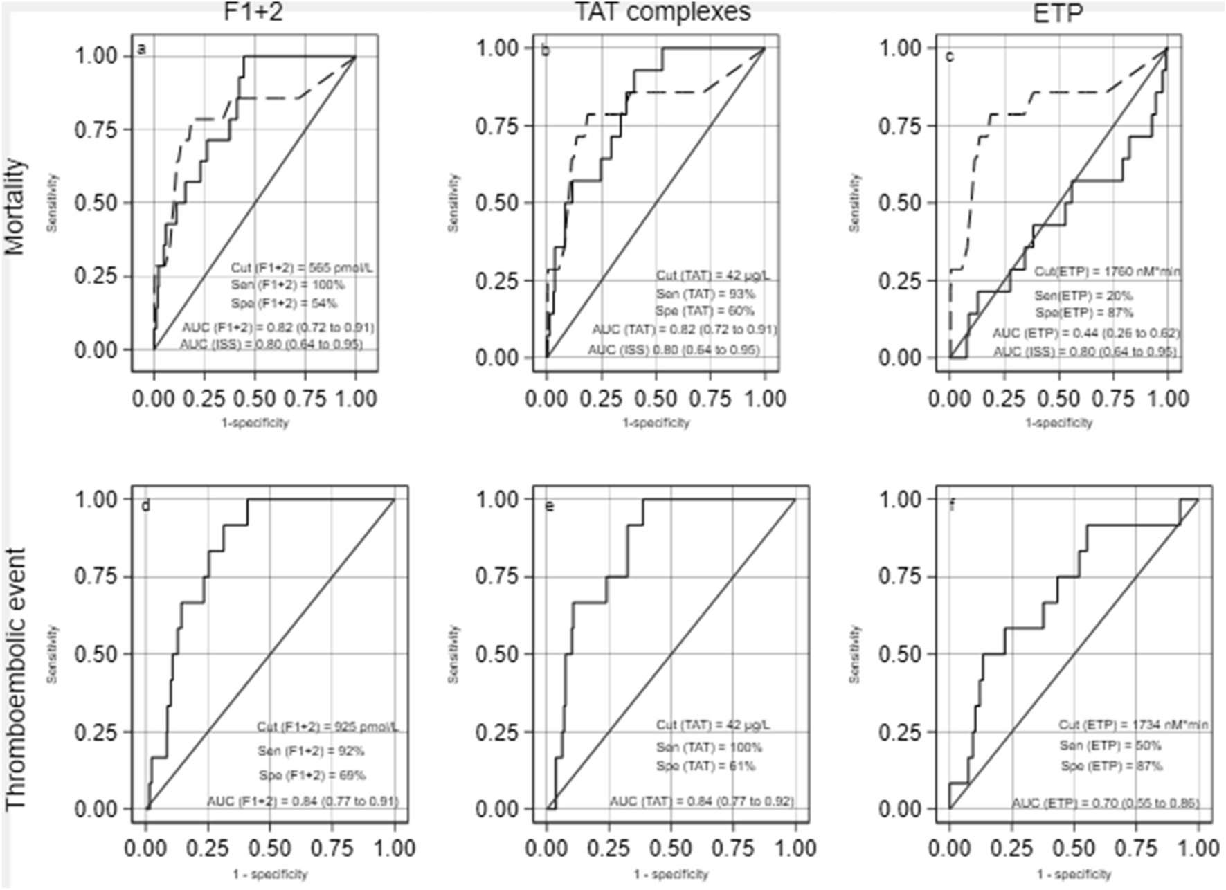
Figure 3

Reciever operating characteristic (ROC) curve analysis of the ability of admission levels of F1+2, TAT complexes and ETP to separate dying/surviving and thromboembolic events 30 days after multiple trauma. A–C: Separation of dying/surviving patients. D–F: Separation of thromboembolic events. Area under the curve (AUC) as well as sensitivity (Sen) and specificity (Spe) at defined cut points (Cut) by youden index shown. Solid lines indicate F1+2, TAT complex levels and ETP. Punctured lines indicate ISS score. The AUC of F1+2, TAT complexes and ETP to separate dying from surviving patients was compared with ISS score. F1+2 versus ISS (p = 0.76), TAT complexes versus ISS (p = 0.80) and ETP versus ISS (p = 0.02). The Youden Index identified a sensitivity of 79% and specificity of 81% for ISS at a cut point of 17.5. Abbreviations: ETP endogenous thrombin potential, F1+2 prothrombin fragment F1+2, ISS Injury Severity Score, TAT Thrombin-antithrombin complex levels.