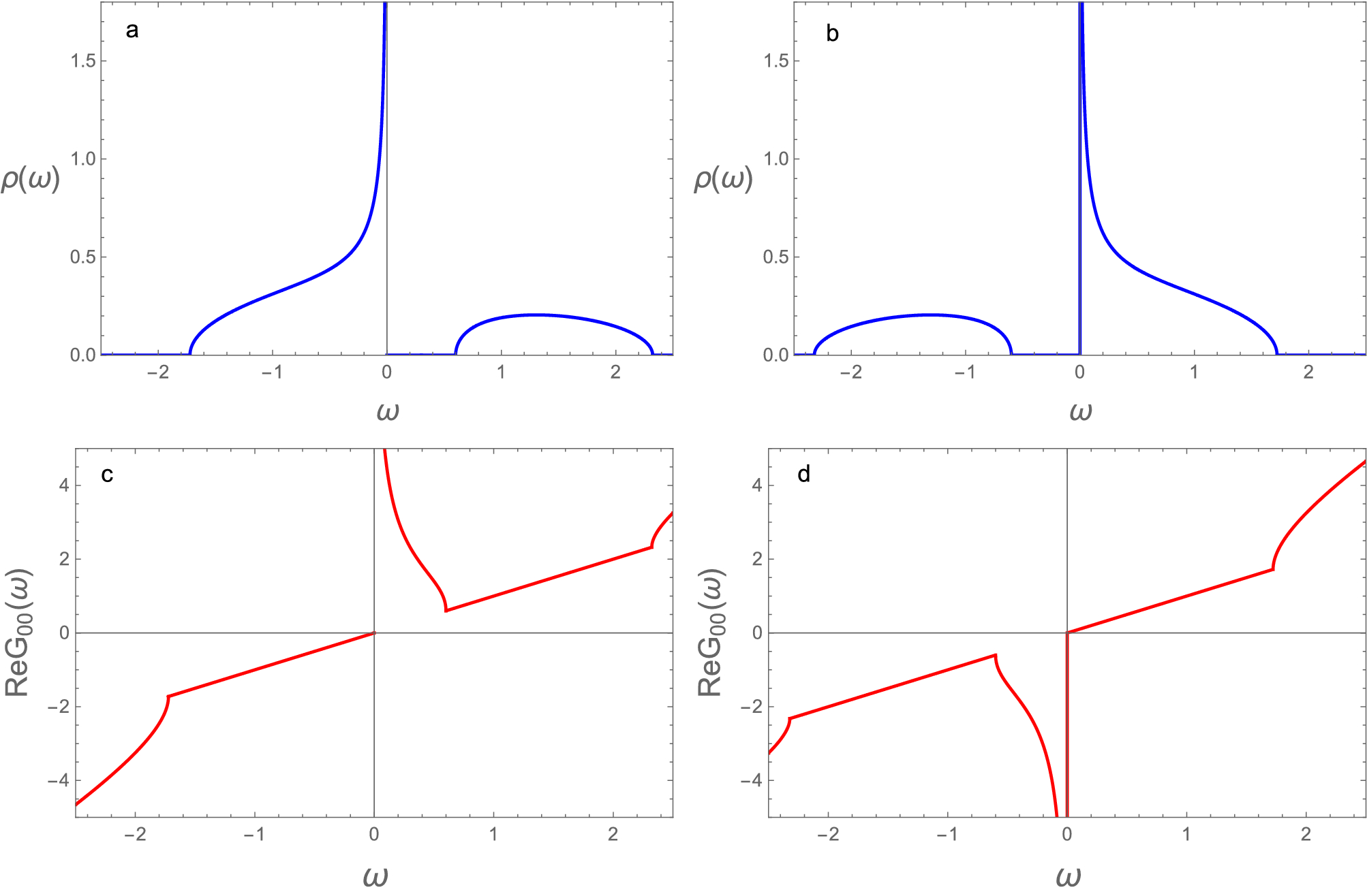
Figure 2
From: Thermoelectric properties of topological chains coupled to a quantum dot

Surface density of states of the semi-infinite diatomic sp-chain (RM chain), Eq. (13), at the topological transition (\(\tilde{V}=1\)), for (a) \(\mu =\epsilon =- 0.3\); (b) \(\mu =\epsilon =0.3\). Real part of the surface Green’s function for (c) \(\mu =\epsilon =- 0.3\) and (d) \(\mu =\epsilon =0.3\).