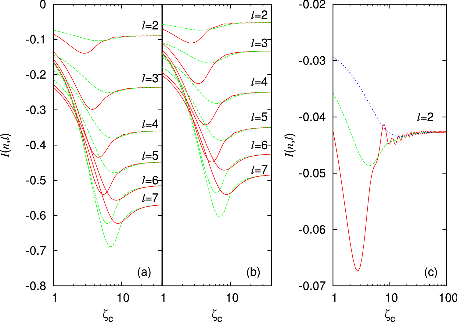
Figure 2
From: Asymptotic Pomeranchuk instability of Fermi liquids in half-filled Landau levels

Dependence of I(n, l) in Eq. (28) on the cutoff \(\zeta _{c}\) for \(w=1\) (red solid curves), 2 (green long dash) and 4 (blue short dash) for (a) \(n=1\); (b) \(n=2\); and (c) \(n=10\) (note the different scales on the third plot). We employed the asymptotic expression in Eq. (26) to plot (c). The values of angular momentum l are as indicated.