Figure 2
From: Impact of the first wave of the COVID-19 pandemic on non-COVID inpatient care in southern Spain

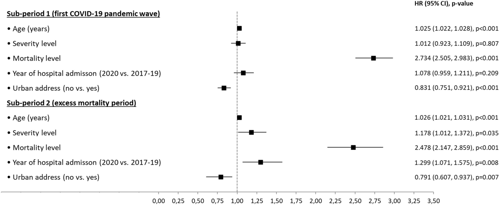
Impact of different variables on in-hospital mortality in patients without COVID-19 admitted to the Virgen del Rocío University Hospital. Multivariable Cox analysis with adjusted hazard ratios for the sub-period 1 (February 27 to June 7, 2020) and the sub-period 2 (March 17 to April 20, 2020). HR, hazard ratio; CI, confidence interval.