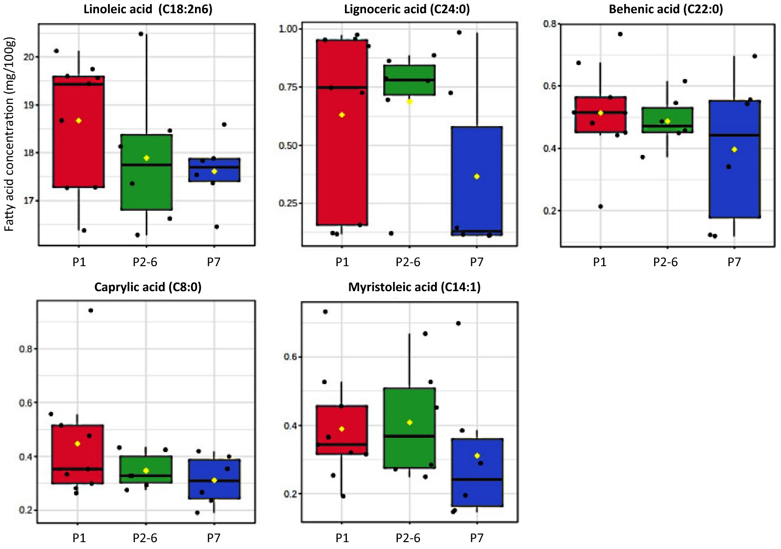
Figure 3

Box-whisker plots of comparative quantification of indicative fatty acids (mg/100 g) responsible for discrimination among mature milk samples (day 17) collected from sows in in parity 1 (red), parity 2–6 (green) and parity 7 (blue). The lower and upper edge of the box denote 25th and 75th percentile of observation, respectively; the bold line within box denotes median value; the rhombus spot within box (
) denotes average value; whiskers denote 5th and 95th percentiles. For interpretation of the significant difference among mean values of samples, the reader is referred to the MIXED model statistical tests in Table 1.