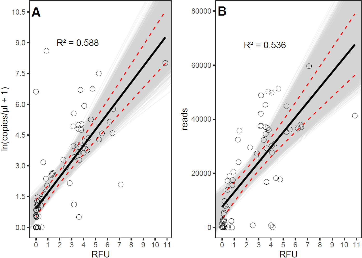
Figure 3

Signal strengths [RFU] of celPCR products of the library preparation PCR for high-throughput sequencing, plotted against (A) copies/µl and (B) Asteraceae read numbers of the plant-specific trnL c-h target fragment, measured in regurgitates of Pseudoophonus rufipes, collected at 0, 4, 8, 16, 24, 32, 48, 64, 72, and 96 h after feeding on 1–3 seeds of Taraxacum officinale. In the scatterplots, dots (○) represent measured values, black bold lines are predicted values of linear regression models, dashed lines are 95% confidence intervals, shaded area marks boot-strapped 95% confidence interval, and R2 indicates goodness of model-fit.