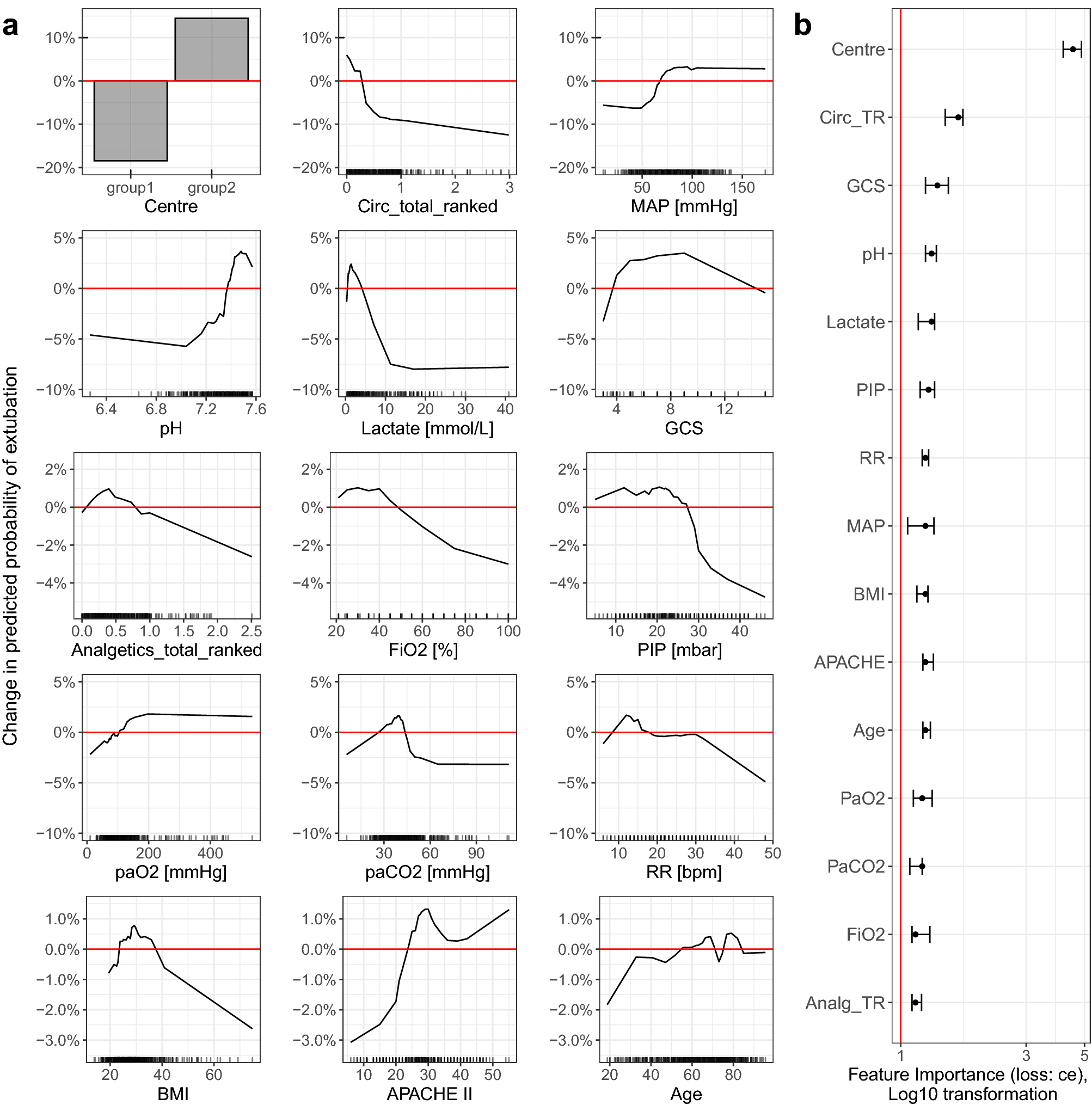
Figure 3

Visual interpretation of the random forest model for 15 most important features: (a) Accumulated local effects plots describing how features influence the prediction of a RF model (terminal extubation) on average (red horizontal line). Y-axis: % change in probability of extubation. The validity of the curves is limited in areas with few data—see the rug plot on the x-axis. The corresponding partial dependence plots (PDP) curves are shown in Fig. S5. (b) Permutation feature importance measured as the factor by which the model’s classification error (CE) increases when the feature is shuffled in the test data (permuted CE/original CE [4.7%]).