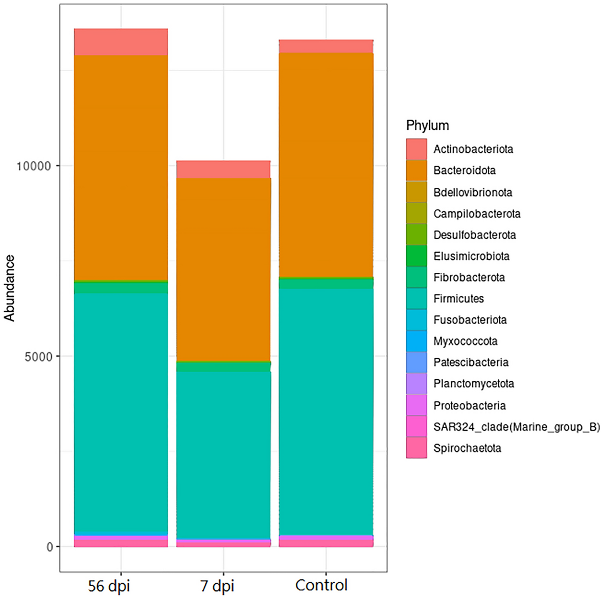
Figure 4

Abomasal microbial composition of Creole goat kids at phylum-level comparing time points after infection with 10,000 H. contortus infective larvae (L3). 56 dpi (56 days post-infection), 7 dpi (7 days post-infection) and Control non-infected.