Figure 5
From: A simplified model to estimate nonlinear turbulent transport by linear dynamics in plasma turbulence

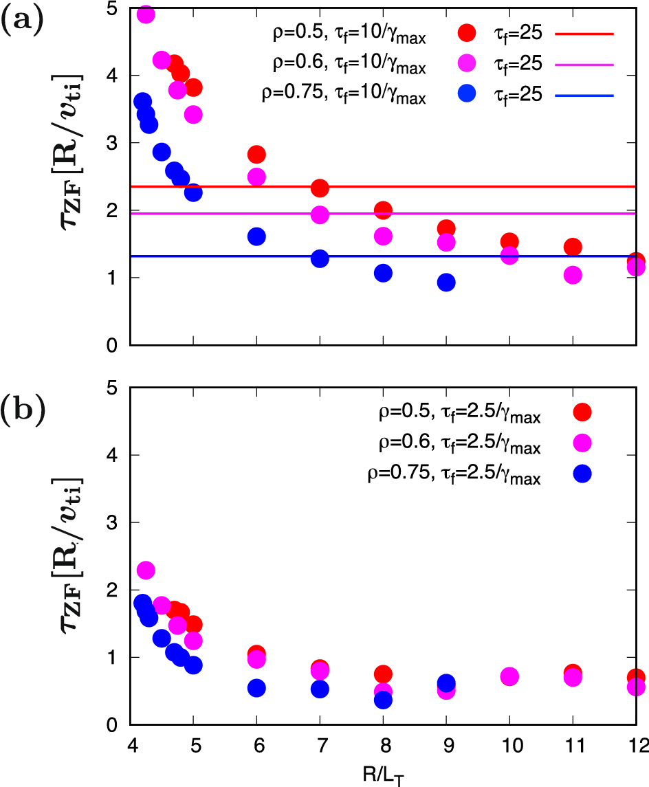
Temperature gradient dependence of zonal–flow decay time \(\tau _{\textrm{ZF}}\equiv \int _{0}^{\tau _{\textrm{f}}}dt{\mathcal{R}_{kx}(t)}\)(symbols), where \(\tau _{\textrm{f}}\equiv C/\gamma _{\textrm{max}}\). (a) \(C=10\) and (b)\(C=2.5\). The horizontal lines in (a) indicate the gradient–independent \(\tau _{{ZF}}\), assumed in earlier works30,31,32,33,34.