Figure 21
From: Symplectic encoders for physics-constrained variational dynamics inference

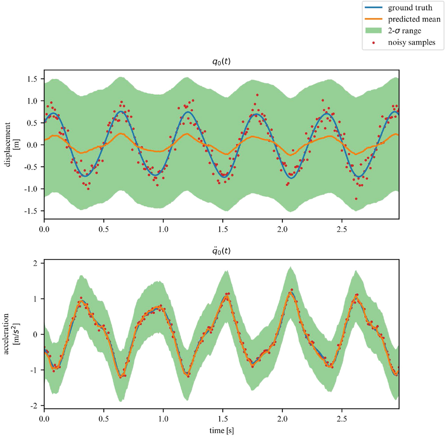
Partially observed duffing 2DOF system.
From: Symplectic encoders for physics-constrained variational dynamics inference

Partially observed duffing 2DOF system.