Figure 23
From: Symplectic encoders for physics-constrained variational dynamics inference

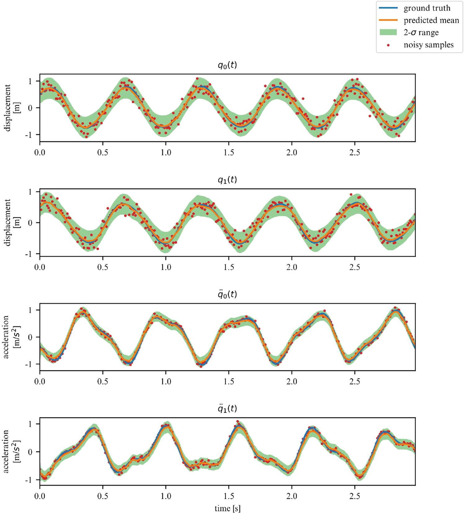
Linear dissipative 2DOF system observations.
From: Symplectic encoders for physics-constrained variational dynamics inference

Linear dissipative 2DOF system observations.