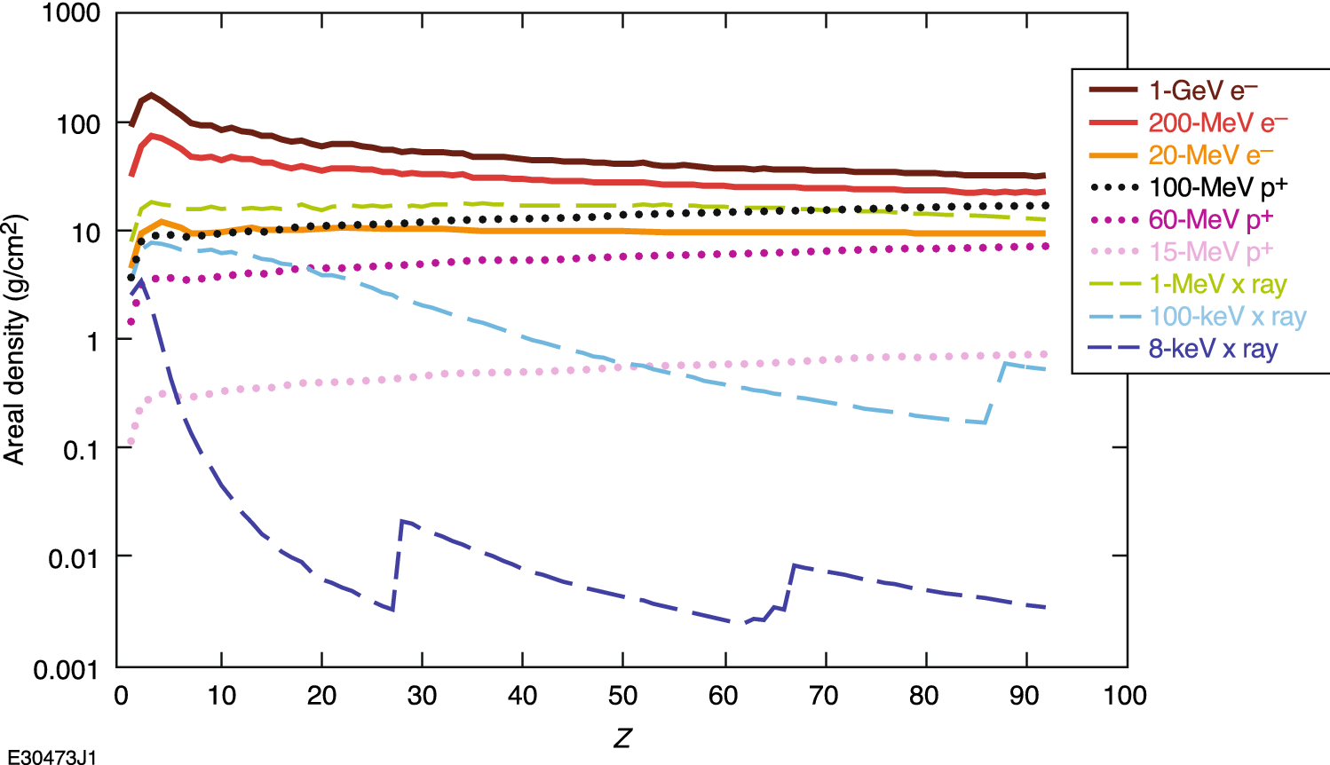
Figure 1
From: Single-shot electron radiography using a laser–plasma accelerator

Areal density needed for a factor of 1/e reduction in particle flux versus atomic number (Z) for average, mid-scale, and high-probe-energy laser-driven electron, X-ray, and proton probes. Charged-particle ranges are determined via continuous slowing-down approximation, while X-ray ranges were determined with mass attenuation coefficients20,21.