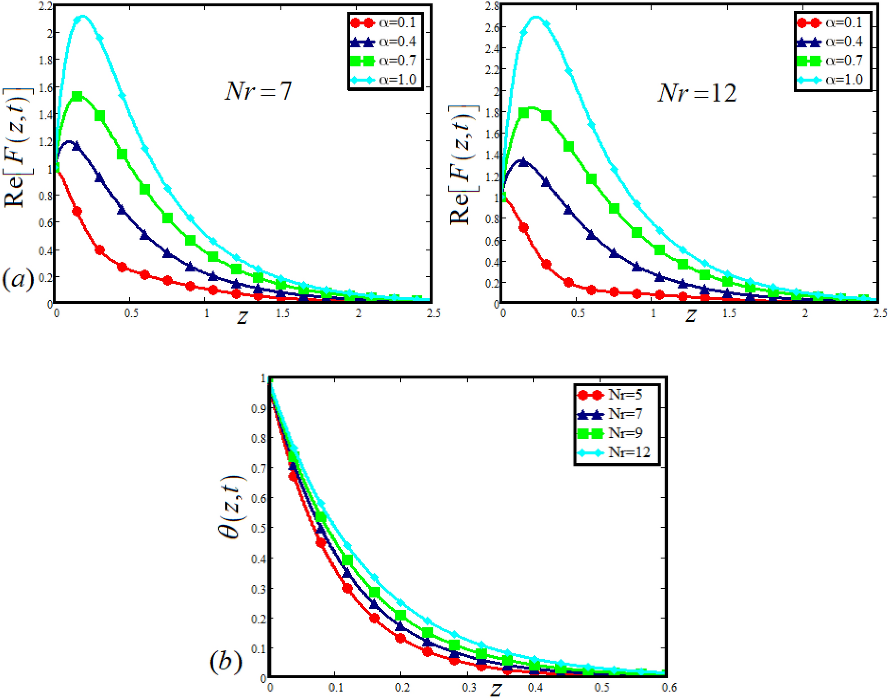
Figure 5

(a) The impact of \(\alpha\) and \(Nr\) on the Jeffery hybrid nanofluid velocity, (b) the impact of α on the temperature of Jeffery hybrid nanofluid, when \(Gr = 80\), \(\Pr = 600\), \(\phi_{hnf} = 0.03\), \(t = 2\) , \(\lambda = 0.5\), \(\lambda_{1} = 2.5\) and \(r = 1\).