Figure 4
From: A granular mechanics model study of the influence of non-spherical shape on aggregate collisions

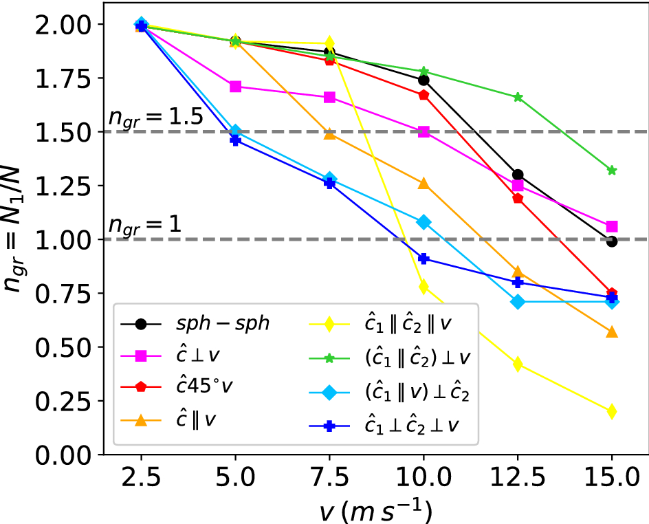
Dependence of the growth ratio, \(n_{\textrm{gr}}\), Eq. (4), on collision velocity, v. The dotted lines delineate the growth regime, \(n_{\textrm{gr}}>1\), and the fusion regime, \(n_{\textrm{gr}}> 1.5\).