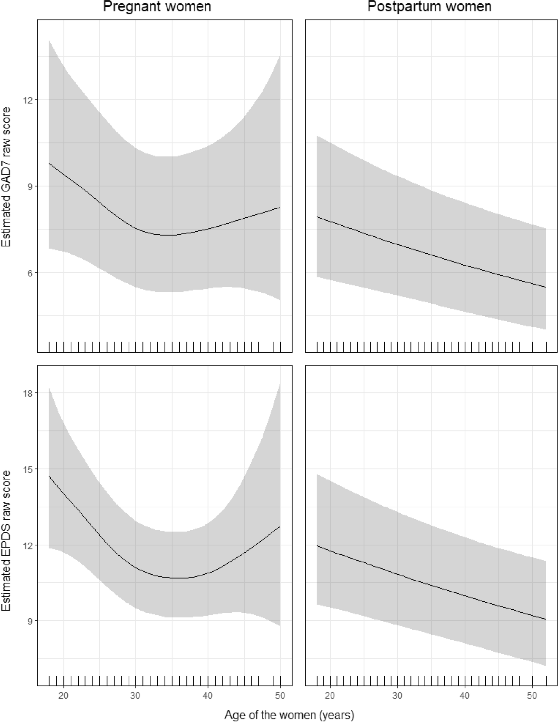
Figure 2

Estimated effect of the age of women on anxiety (top) and depression (bottom). The raw scores in pregnant (left) and postpartum women (right) are shown.

Estimated effect of the age of women on anxiety (top) and depression (bottom). The raw scores in pregnant (left) and postpartum women (right) are shown.