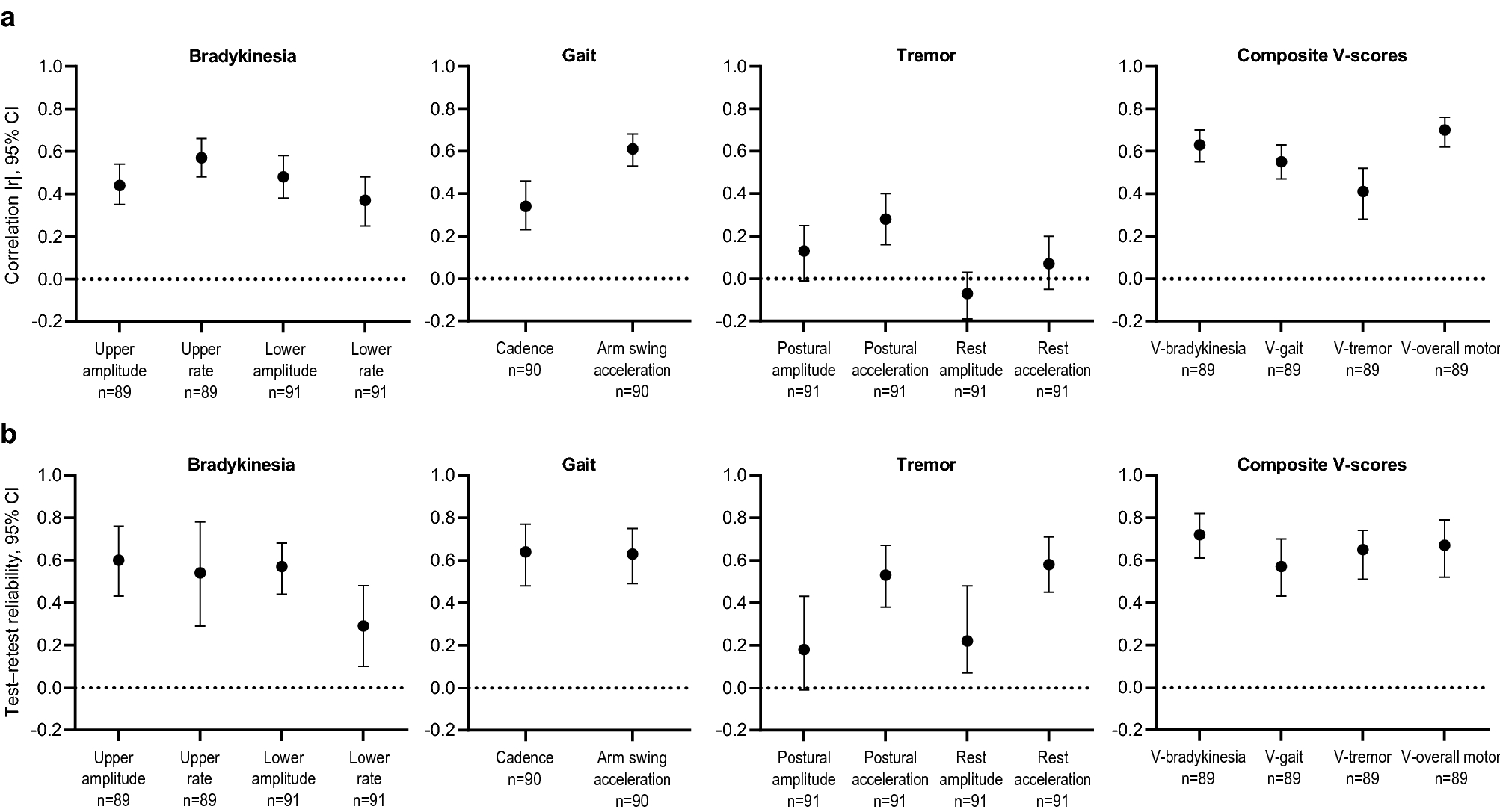
Figure 4

Analytical validity of digital measurements from single-sensor–derived features and composite V-scores. (a) Spearman rank correlation between MDS-UPDRS Part III sensor scores and neurologist-rated consensus scores on Day 3 and (b) test–retest reliability on Day 2 of the inpatient assessment.a,b Consensus scores for the MDS-UPDRS Part III examination on Day 3 of the inpatient assessment were calculated using an in-person rating from videotaped ratings from three neurologists. The averages of all scores for the OFF and ON states on Day 3 were combined for each measure. aSpearman rank correlation coefficients are plotted as absolute values; original values are plotted for coefficients where the 95% CI crosses the 0 line. Correlation was considered weak for coefficients < 0.3, moderate for coefficients 0.3–0.6, and strong for coefficients > 0.6. bTest–retest reliability was computed from MDS-UPDRS Part III sensor scores on Day 2, in which the MDS-UPDRS examination was administered twice within a short period of time; test–retest reliability was considered poor for ICCs < 0.5, average for ICCs 0.5–0.75, good for ICCs > 0.75–0.9, and excellent for ICCs > 0.9. CI confidence interval, ICC intraclass correlation coefficient, MDS-UPDRS Movement Disorder Society-sponsored revision of the Unified Parkinson’s Disease Rating Scale, V-score machine-learned composite sensor scores for each motor feature.