Figure 5
From: Modulation of transcription factor dynamics allows versatile information transmission

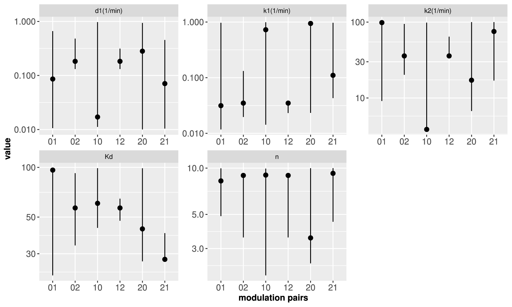
Projection on each parameter axis of the Minmax regions obtained for each pair of modulation input types and the \(T_c\) output time cut. The pairs of digits in the horizontal axes identify the modes for which the information transmission has been maximized (first digit) and subsequently minimized (second digit) to determine the Minmax regions, with 0: duration, 1: amplitude and 2: frequency. The symbols correspond to the values that minimize MI for the second digit modulation given that MI stays within 90% of \(MI_M\) for the first digit modulation.