Figure 3
From: Dynamic routing for efficient waste collection in resource constrained societies

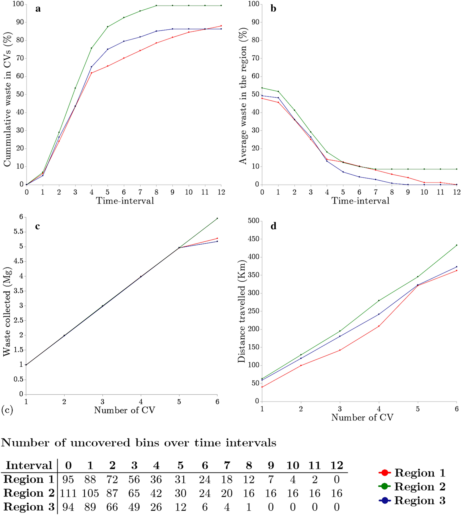
For various time intervals (a) total waste in CV and (b) average waste left in bins. Effect of no. of CV on (c) total collected waste collected and (d) total distance travelled; after applying the restriction on the resources for all the three regions.