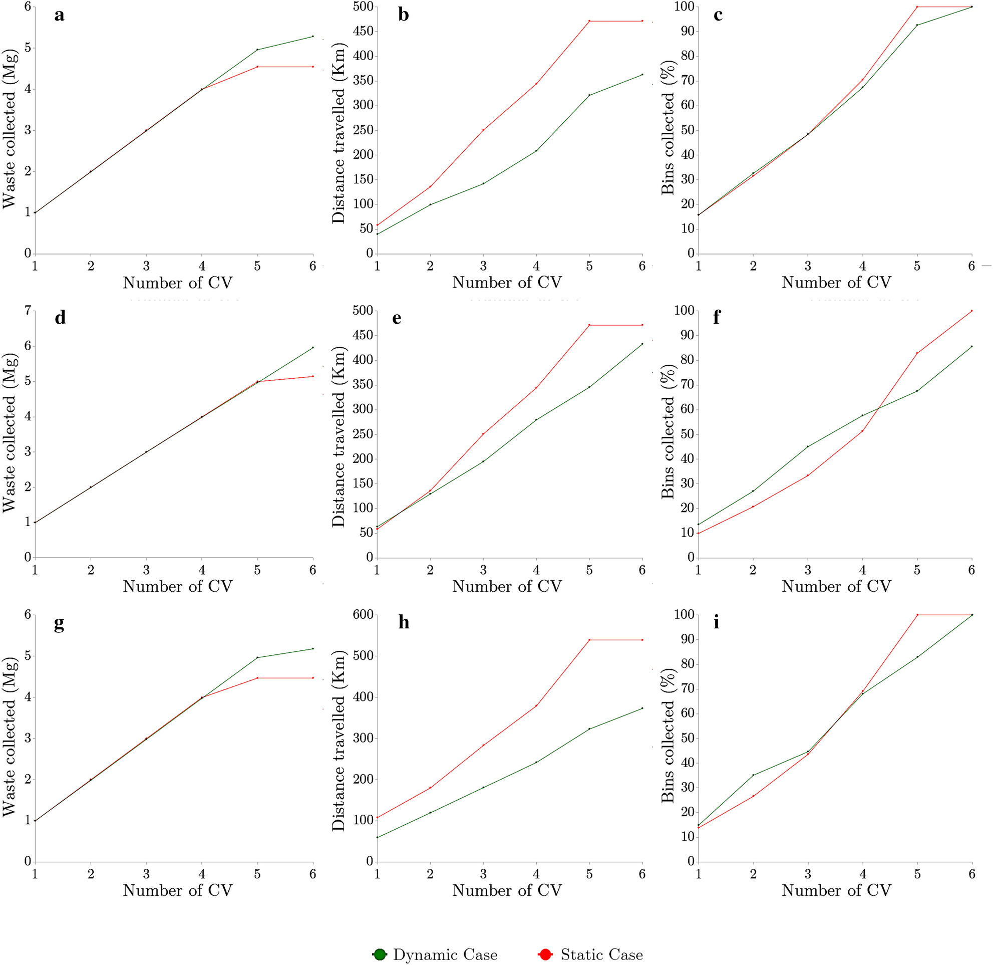
Figure 5
From: Dynamic routing for efficient waste collection in resource constrained societies

Static vs. dynamic performance analysis comparing waste collected, distance travelled, and percent of bins collected for Region 1 (a–c), Region 2 (d–f) and Region 3 (g–i).