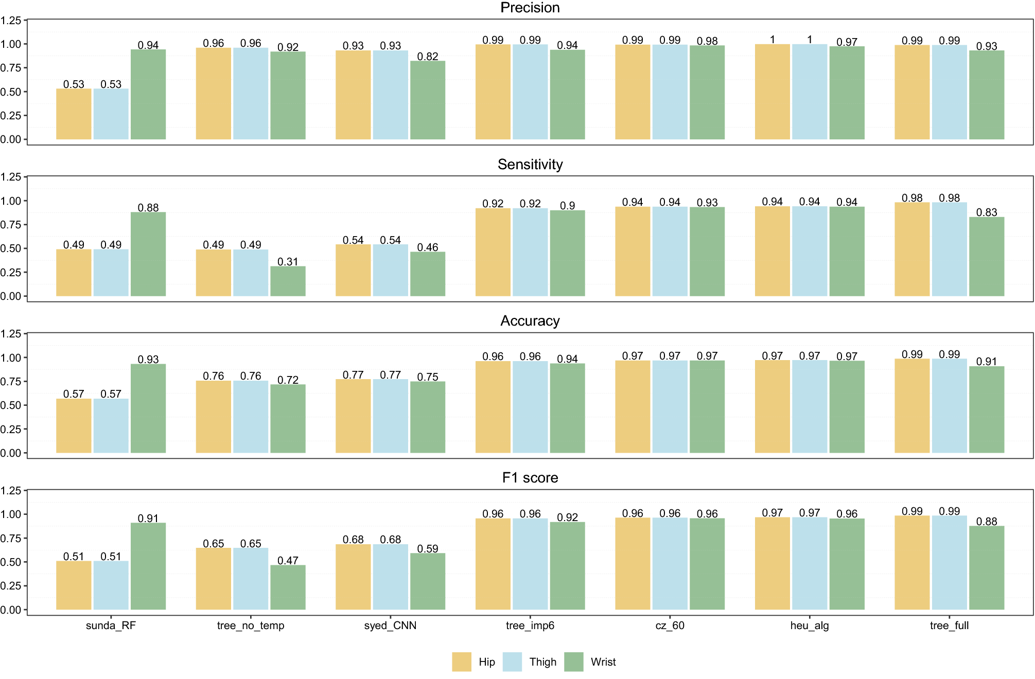
Figure 5

Classification performance metrics on all non-wear episodes for the seven included methods for classifying non-wear time. Metrics are shown for the three different ground-truth dataset including hip-worn, thigh-worn, and wrist-worn raw accelerometer data.