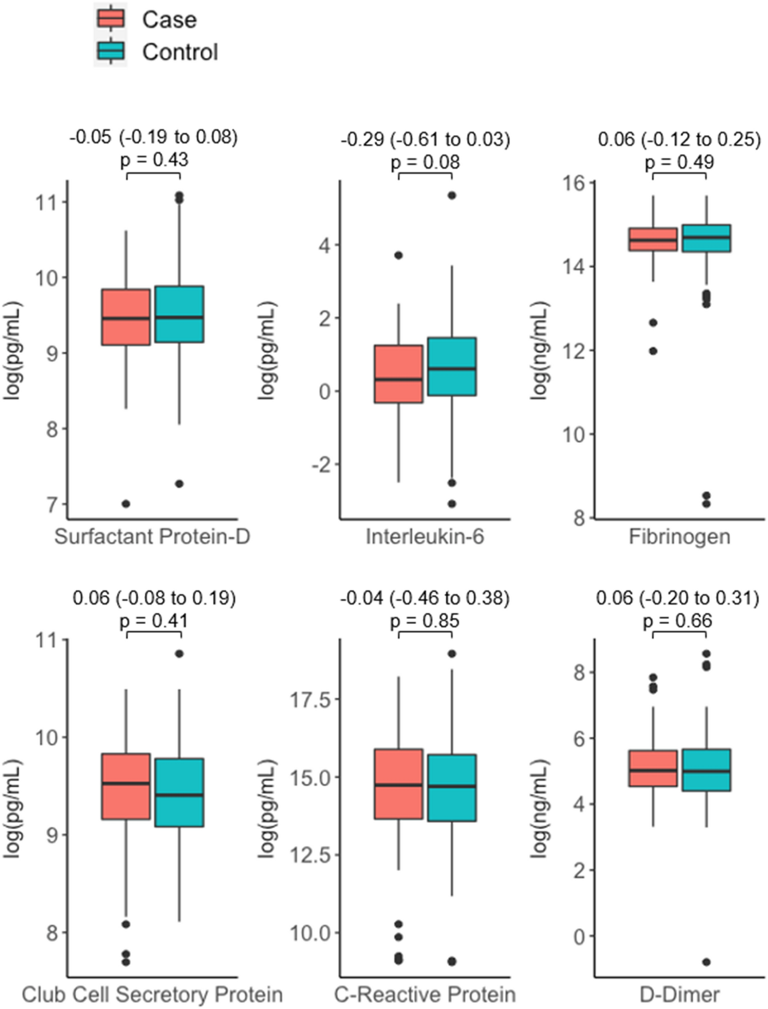
Figure 2

Comparison of log transformed biomarker concentrations by case:control status, where cases represent those with rapid lung function decline (FEV1 decline faster than 40 mL/year) and controls represent those with stable lung function (FEV1 change between − 20 and 20 mL/year). Values across the top represent the mean (95% confidence interval) of the differences in biomarker levels within each case control pair and p-values are from paired t-tests.