Figure 4
From: Acquisition of new function through gene duplication in the metallocarboxypeptidase family

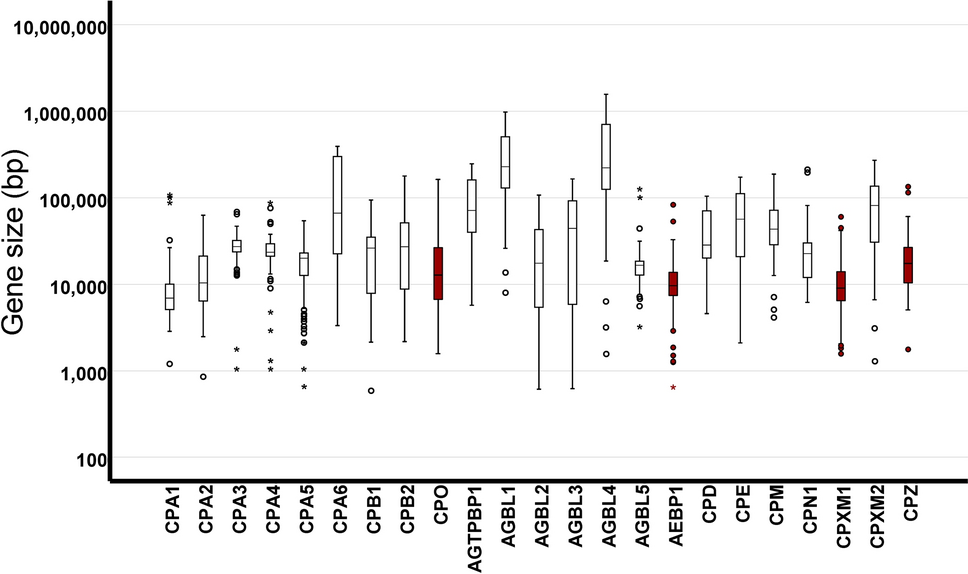
Gene size may contribute to rate of gene duplication or duplicate maintenance. The sizes of the indicated genes from 188 species were obtained from Ensembl (Release 98). An independent sample t test was performed comparing all frequently duplicated genes (red) to all others (white; p = 1.59E−37).