Figure 1

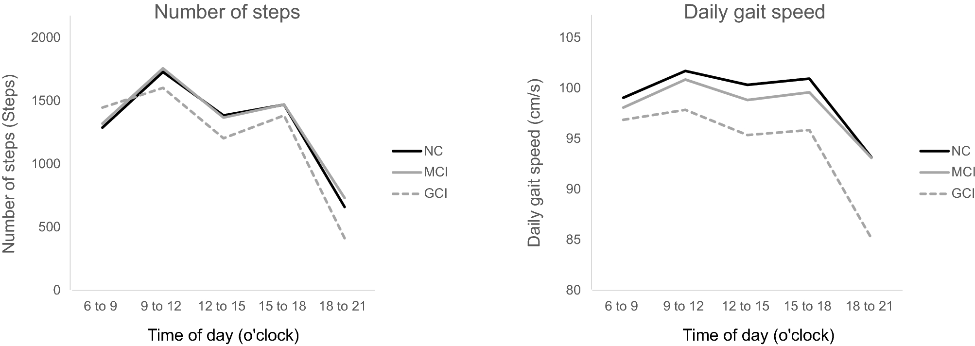
Average number of steps and average daily gait speed patterns measured every 3 h of normal cognition (NC), mild cognitive impairment (MCI), and general cognitive impairment (GCI) groups.

Average number of steps and average daily gait speed patterns measured every 3 h of normal cognition (NC), mild cognitive impairment (MCI), and general cognitive impairment (GCI) groups.