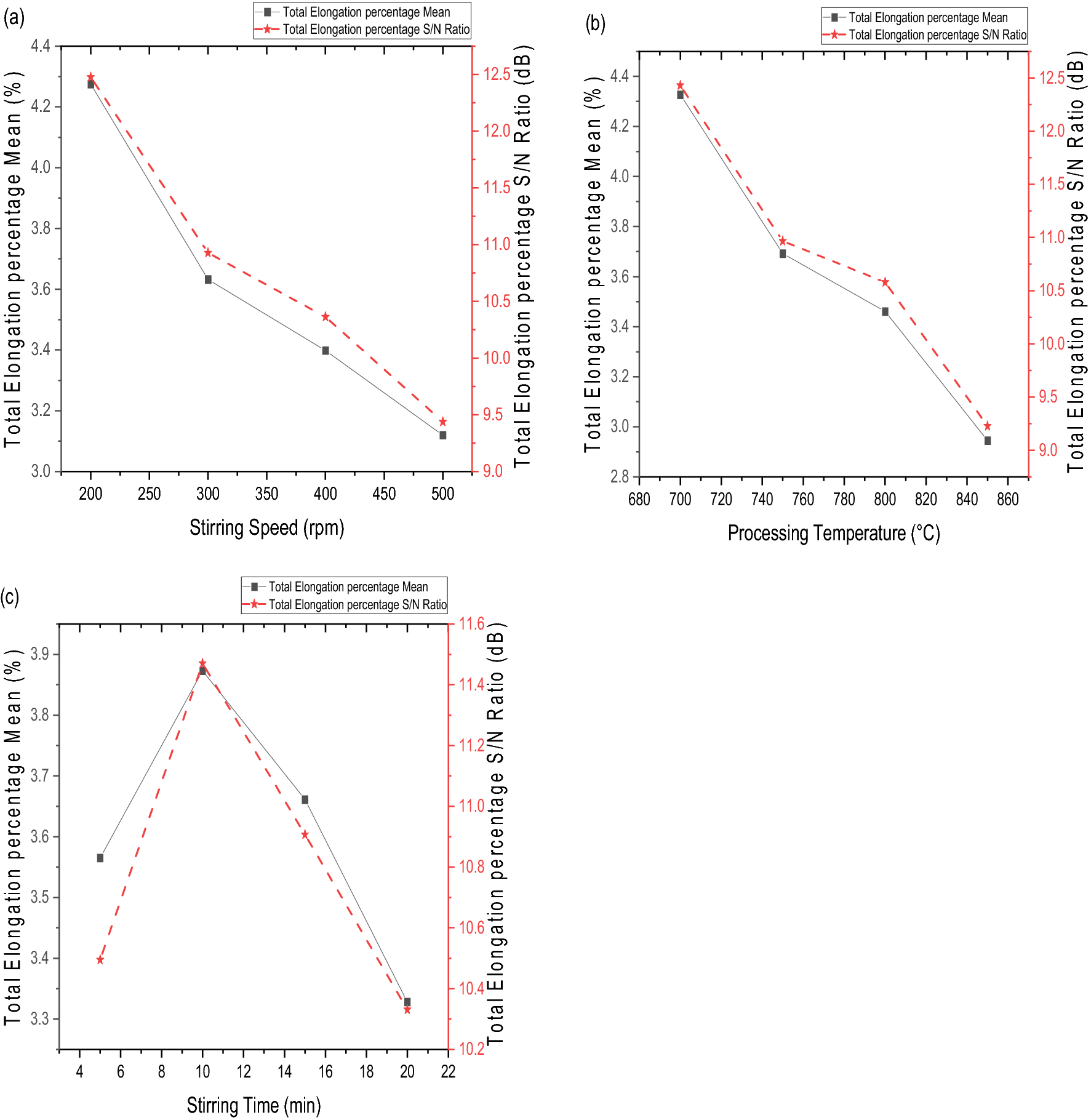
Figure 5

Variation of percentage elongation with stirring process parameter; (a) stirring speed vs percentage elongation, (b) processing temperature vs percentage elongation (c) stirring time vs percentage elongation.

Variation of percentage elongation with stirring process parameter; (a) stirring speed vs percentage elongation, (b) processing temperature vs percentage elongation (c) stirring time vs percentage elongation.